ALFA. Revista de Investigación en Ciencias Agronómicas y Veterinarias

Septiembre-diciembre 2024 / Volumen 8, Número 24

ISSN: 2664-0902 / ISSN-L: 2664-0902

https://revistaalfa.org

pp. 1082 - 1097

 

 

 

 

 

Calidad nutricional y oligoelementos en la leche de vaca e hato libreen zonas rurales altoandinos del sur de Perú

 

Nutritional quality and trace elements in cow ́s and fre-range herd in rural high Andreanareas of southern Peru

 

Qualidade nutricional e oligoelementos no leite de vacas e rebanhos criados ao ar livre em áreasrurais andinas do sul do Peru

 

 

Rosa Huaraca Aparco1

rhuaraca@unajma.edu.pe

https://orcid.org/0000-0003-4493-7754

 

Fidelia Tapia Tadeo1

ftapia@unajma.edu.pe

https://orcid.org/0000-0003-4892-941X

 

Edwin Mescco Caceres1

emescco@unajma.edu.pe

https://orcid.org/0000-0002-5270-0370

 

Grecia Mamani Valverde1

gvalverde@unajma.edu.pe

https://orcid.org/0000-0003-0734-0991

 

Juan Alarcón Camacho2

alrconcamacho@yahoo.com

https://orcid.org/0000-0002-4911-7440

 

1Universidad Nacional José María Arguedas, Andahuaylas, Perú

2Ingeniería Agropecuaria, Universidad Tecnología de los Andes, Abancay, Perú

 

Artículo recibido 04 de marzo 2024 | Aceptado 08 de abril 2024 | Publicado 20 de septiembre 2024

 

RESUMEN

El manejo de la producción y calidad de la leche en ambientes andinos en Perú caracterizados por su altitud cuestiones que afectan por exposición a altas actividades antropogénicas y explotación de recursos minerales. El objetivo fue evaluar la calidad nutricional de la leche de vacas criadas en pequeños rebaños en zonas alto andinas de hato libre. Se caracterizó la leche en cuanto a composición química y oligoelementos, utilizando cromatografía de capa fina-(CCF), espectrometría de emisión atómica con plasma acoplado inductivamente (ICP-OES). Los resultados revelaron una elevada concentración de grasa y proteína en una mayor altitud, con mayor contenido de oligoelementos tóxicos y los esenciales dentro de los rangos adecuados. Estos resultados contribuyen a nuevos conocimientos sobre la calidad de producción de leche en zonas Altoandinas expuestas a actividades antropogénicas para su procesamiento a nivel industrial.

 

Palabras clave: Calidad nutricional; Composición química; Oligoelementos tóxicos; Zona Altoandina

 

ABSTRACT

The management of milk production and quality in Andean environments in Peru characterized by their altitude issues that affect exposure to high anthropogenic activities and exploitation of mineral resources. The objective was to evaluate the nutritional quality of milk from cows raised in small herds in high Andean areas of free herds. The milk was characterized in terms of chemical composition and trace elements, using thin layer chromatography (TLC) and inductively coupled plasma atomic emission spectrometry (ICP-OES). The results revealed a high concentration of fat and protein at higher altitudes, with higher content of toxic trace elements and essential ones within the appropriate ranges. These results contribute to new knowledge about the quality of milk production in high Andean areas exposed to anthropogenic activities for industrial processing.

 

Key words: Nutritional quality; Chemical composition; Toxic trace elements; High Andean area

 

RESUMO

A gestão da produção e qualidade do leite em ambientes andinos no Peru caracteriza-se por seus problemas de altitude que afetam a exposição a altas atividades antrópicas e a exploração de recursos minerais. O objetivo foi avaliar a qualidade nutricional do leite de vacas criadas em pequenos rebanhos em áreas caipiras dos altos andinos. O leite foi caracterizado quanto à composição química e oligoelementos, utilizando cromatografia em camada delgada (TLC), espectrometria de emissão atômica com plasma indutivamente acoplado (ICP-OES). Os resultados revelaram alta concentração de gordura e proteína em altitudes mais elevadas, com maior teor de oligoelementos tóxicos e essenciais dentro de faixas adequadas. Estes resultados contribuem para novos conhecimentos sobre a qualidade da produção de leite em áreas do Alto Andino expostas a atividades antropogênicas para processamento em nível industrial.

 

Palavras-chave: Qualidade nutricional; Composição química; Oligoelementos tóxicos; Zona alta andina

 

INTRODUCCIÓN

 

A nivel mundial, el consumo per cápita de leche de vaca es de 117,7 kg por año (1). Este dato, junto con el crecimiento de la población global, indica un aumento absoluto en el volumen del mercado, con millones de personas consumiendo leche en todo el mundo (2). El elevado consumo de leche de vaca se debe a la capacidad de adaptación de las vacas a diversos factores climáticos, así como a su alimentación y manejo (3). La adaptabilidad de las vacas a diferentes condiciones climáticas representa un valor añadido, ya que se asocia con características nutricionales favorables y una alta sostenibilidad ambiental. Esto está vinculado a la autenticidad relacionada con su origen y los procesos de producción tradicionales (4). Su sistema de alimentación se basa principalmente en pastos, que ofrecen beneficios asociados con una alta calidad de grasa. La modificación de las estrategias alimentarias para las vacas está estrechamente relacionada con las condiciones ambientales y la disponibilidad de alimentos, factores que pueden afectar la composición química de la leche (5). Sin embargo, estudios recientes sugieren que la leche producida a altitudes elevadas es de alta calidad debido a su composición en grasa y proteínas (6).

 

Es por ellos, que los factores ambientales y alimentarios, como la altitud y la composición del forraje, influyen en la calidad de la leche de vaca debido a las diversas formas del relieve geográfico donde se encuentran estas vacas lecheras. Además, el manejo en estas condiciones se basa en el comportamiento natural de los animales; se ha observado que las vacas en pastoreo presentan una menor incidencia de problemas de salud en comparación con los animales confinados (7). Por lo que, la altura desempeña un papel relevante en la producción lechera con una particularidad en las regiones geográficas superior a los 2500 msnm, donde prevalecen las circunstancias topográficas únicas y una práctica tradicional que influye en la fisiología de las vacas lecheras (5).

 

No obstante, la cantidad de investigaciones sobre cómo la altitud afecta la composición de la leche es bastante limitada, aunque está impacta en la calidad de la leche debido a las variaciones ambientales asociadas con las diferencias de elevación y sus condiciones antropogénicas, en especial en los Andes Altoandinas, donde predominan prácticas tradicionales de manejo estacional y costumbres ancestrales (4). Por lo que, a alturas superiores a 2547 msnm, se enfrentan potencialmente un desafío metabólico, ya que los forrajes en estas regiones suelen tener un alto contenido de nitrógeno no proteico y un bajo nivel de carbohidratos que no cubren los requerimientos nutricionales de su dieta. Así mismo, se observó que las vacas en periodo de trashumancia de verano presentan un incremento en el contenido de grasa de la leche y una reducción en el contenido proteico en comparación con las vacas que se encuentran a menor altitud (8).

 

Es por esto, que los procesos antropogénicos influyen negativamente en los sistemas productivos del ganado lechero a estas altitudes con temperaturas extremas y escasez de precipitaciones, que provocan sequías, baja producción de pastizales, lo que a su vez perjudica las funciones productivas del ganado, incluyendo tanto la cantidad como la calidad de la leche. Además, el cambio climático impacta directamente en la producción y el bienestar del ganado. Otro factor de peso, lo constituyen las actividades humanas que interactúan con los recursos hídricos, cuestiones que también afectan las características fisicoquímicas, biológicas y composición química de la leche, las fluctúan además por el impacto de actividades naturales y explotación minera (9).

 

Además, los productores de leche en altitudes elevadas han mantenido tradicionalmente prácticas de pastoreo que tienen implicaciones positivas para el bienestar animal y que, a su vez, pueden influir favorablemente en la calidad de la leche, la que es rica en vitaminas y polifenoles, lo que resulta beneficioso para la salud de los consumidores. De ahí que, la mayoría de los componentes dependen de la riqueza nutricional de los pastizales, que presentan niveles más altos de grasa y vitaminas en comparación con aquellos producidos en establos. Sin embargo, los pesticidas organoclorados son ampliamente utilizados para incrementar la productividad de los pastizales afectan el medio ambiente y han recibido atención considerable en la producción láctea debido a su ubicuidad y toxicidad, así como a su persistencia y baja biodegradabilidad (10).

 

Estudios, han demostrado que los factores antes descritos influyen en parámetros clave de la calidad de la leche, como las proteínas, grasa y caseína. Estas variaciones pueden estar influenciadas por factores ambientales relacionados con diferentes altitudes y actividades antropogénicas, lo que podría generar cambios fisiológicos significativos en la composición láctea. Así como, las características tecnológicas de la leche son fundamentales para su procesamiento en derivados lácteos. Por lo que, las fracciones de caseína, por ejemplo, influyen en las propiedades de coagulación. Por lo tanto, caracterizar las propiedades tecnológicas de la leche es de gran interés, especialmente en relación con su capacidad de coagulación y el impacto que las proteínas tienen sobre las propiedades tecnofuncionales y el rendimiento del queso (11).

 

Por lo que, la hipótesis de estudio plantea que la altitud y los componentes nutricionales incluyendo propiedades físicas, oligoelementos, composición química y propiedades tecnológicas están asociados con las condiciones antropogénicas en áreas de gran altitud. De ahí que, el objetivo de esta investigación es caracterizar la calidad nutricional y tecnológica de la leche de vacas criadas en pequeños rebaños en hatos libres en zonas Altoandinas. Dado que existe una falta de información sobre los componentes nutricionales, oligoelementos tóxicos y esenciales, así como aspectos tecnológicos en estas altitudes expuestas a condiciones antropogénicas y explotación minera, es crucial recopilar datos que informen futuras decisiones estratégicas para lograr una producción ganadera sostenible.

 

MATERIALES Y MÉTODOS

 

Área de estudio

 

Para esta investigación se seleccionaron cinco zonas agroecológicas de productores de leche de vaca (Bos taurus) en el sur este del distrito de San Jerónimo, Cusco, Perú. Ubicado en los 13°33′07″S 71°52′53″O a 3251 msnm, zonas agroecológicas de productores.

 

Se realizó una investigación del tipo cualitativa, para lo que se utilizó un método de muestreo no probabilístico aleatorio intencional. Los criterios de selección incluyeron la buena salud (vacas sin signos de diarrea, tos, secreción nasal, cojos ni mastitis). Los hatos se seleccionaron aleatoriamente con aproximadamente 10 cabezas cada uno, teniendo en cuenta la voluntad de los agricultores de participar en el estudio. Se recolectaron 45 muestras de leche de vacas de raza bronzui, josten y criollas, mediante ordeño manual una vez al día (entre 06:00 y 7:00 de la mañana). Como factor de variación se tomó la altitud de 3060-3758 msnm en las localidades de Totoral (3068), Ollabamba (3418), Champaccocha (3440), Llupapuquio (3495) y Chullcuisa (3758), las zonas se caracterizan con una intensa actividad agrícola cuya producción se comercializa principalmente por la leche por su calidad y su destino es mercado de la capital Peruana y existen pocos reportes del chequeo de la calidad del producto.

 

Se recolectaron muestras de leche en frascos de vidrio de 250 mL, 45 en total de las razas bronzui, josten y criollas 15 por cada raza, en los 5 hatos, para una población total de vacas de 50, las muestras se colocaron en contenedores portátiles isotérmicos con bolsas de hielo a temperatura de 4 °C y se transportaron al laboratorio, composición química y la determinación de las características fisicoquímicas se mantuvieron se analizaron dentro de las 24 h posteriores a su recolección.

 

Composición química de la leche

 

La composición de la leche (grasa, proteína, lactosa, sólidos totales y contenido de sólidos no grasos) se determinó utilizando un analizador Milkoscan FT6000 (Foss, Hillerød, Dinamarca) de acuerdo con la AOAC (12).

 

Propiedades físicas

 

El pH de la leche se midió utilizando un electrodo de vidrio con un sensor de temperatura incorporado (5014T, Crison Instruments, Barcelona, España) en un pHmetro (GLP 21, Crison Instruments, Barcelona, España) que fue calibrado con soluciones tampón estándar de pH. 4.0 y 7.0 según las instrucciones del fabricante. La densidad de la leche se calculó a partir de la ecuación de Fleischman que tiene en cuenta el contenido total de sólidos y grasas de la leche. Punto de congelación de la leche (FPD) se midió utilizando el equipo MilkoScan FT 6000 (Foss, Hillerød, Dinamarca). 

 

Estabilidad del etanol

 

La estabilidad del etanol se midió mezclando volúmenes iguales en una placa de Petri de vidrio con un volumen igual (1 ml) de la muestra de leche y la solución de etanol (agua/etanol en un rango del 10 al 100 % a intervalos del 2 %, v / v ) a temperatura ambiente. La concentración máxima de la solución de etanol que no provocó coagulación se definió como la estabilidad del etanol de la leche. Cada muestra fue evaluada por tres observadores en la escala visual. Este estudio fue diseñado según Lan et al. (12,13).

 

Determinación de Oligoelementos

 

Reactivos y soluciones estándar

 

Todas las soluciones se prepararon utilizando agua ultrapura con una resistencia de 18 MΩ cm−1 producida por un sistema de purificación Milli-Q (Millipore Corp., Bedford, MA, EE. UU.). Las soluciones estándar madre de los elementos (1000 mg/L) de grado ultrapuro (Solución estándar de elementos múltiples ICP IV certiPUR). El ácido nítrico (69%) se obtuvo de Merck (Poole, Reino Unido).

 

Análisis de muestras

 

Las muestras se sometieron a digestión ácida antes del análisis. El procedimiento de digestión asistida por microondas se llevó a cabo en el laboratorio de CICOTOX de la Universidad Nacional Mayor de San Marcos. Donde, cada muestra de leche cruda bovina (5 mL) se colocó en matraz de vidrio con 10 mL de HNO3 y se digirió en un horno microondas (modelo MarsXpress-CEM Technology Inside) durante 28 min (paso 1: 110 °C durante 8 min, paso 2: 170 °C durante 10 min, y paso 3: 170 °C durante 10 min.) Las muestras digeridas se filtraron a través de papel de filtro doblado en forma de pirámide (peso 80 gm2, velocidad de filtración 20–25 s) en un nuevo recipiente estéril.

 

Las concentraciones de Cd, Pb, Cu, Fe y Zn se determinaron mediante espectrometría de emisión atómica con plasma acoplado inductivamente (ICP-OES) (Optima 7000 DV, PerkinElmer, Waltham, MA, EE. UU.). Todas las muestras se analizaron por duplicado y las concentraciones se expresaron en mg/L (12).

 

Durante todo el estudio se aplicó un programa de control de calidad analítica. Se procesaron muestras en blanco junto con las muestras de prueba y los valores así obtenidos se restaron de las lecturas de las muestras. Los límites de detección (LOD) en el digesto ácido se calcularon tres veces, mientras que la desviación estándar de los blancos de reactivos fue: 0,012 (Cd), 0,036 (Pb), 0,14 (Cu), 0,85 (Fe) y 0,93 (Zn) µg/L. Las concentraciones elementales de todas las muestras analizadas fueron superiores a los respectivos LOD. Para comprobar la precisión del método analítico, se utilizaron soluciones estándar de elementos múltiples para la calibración y se procedió a comprar con las muestras. La precisión del método se expresó como la recuperación analítica, que en todos los casos estuvo dentro de un rango aceptable (90 a 110%), con una desviación estándar relativa (RSD) <10%.

 

Análisis estadístico

 

Los datos se analizaron a través de ANOVA, mediante la prueba de Kolmogorov-Smirnov con el fin de determinar la distribución de los datos, confirmándose que los datos se ajustan a una distribución normal. Adicionalmente, se realizaron análisis de varianza de tipo unidireccional, utilizando el software Origin Pro2018 (OriginLab Corporation). Se consideró como factor categórico la altitud y se explicó el efecto de esta variable en cada una de las propiedades analizadas. Se utilizó la prueba de Tukey con un nivel de significancia de p ≤ 0.05 para determinar las diferencias en cada parámetro con respecto a la altitud.

 

RESULTADOS

 

La leche tiene propiedades específicas, cuyo estándar de composición organoléptica y físico-química varían ligeramente, de acuerdo con su tipo y se define como la secreción láctea completa y fresca, obtenida por el ordeño completo de una o varias vacas sanas (13,14). De acuerdo con la composición proximal de la leche Tabla 1, los valores reportados para proteína, grasa y lactosa se caracterizó con un contenido significativo de proteína porcentual de 3.12 y 3.26 %, Grasa de 3.99 y 4.25%, solidos no grasos SNG 8.77 y 8.49%, Lactosa 4.83 y 4.68% y concentración de sales de 0.76 y 0.69% de acuerdo a diferentes zonas de ubicación de la producción de leche por altura.

 

En cuanto a las propiedades físicas Tabla 2, la actitud ejerce efecto sobre estos indicadores con valores entre 6.657-6.750; 0.155-0.161; 1.027-1.028; -0.502 a -0.536 y 65.472-67.286 para pH, acidez, densidad, punto de congelación y estabilidad al etanol, respectivamente. Se ha notado poca variación entre los indicadores evaluados con algunos incrementos para el pH y estabilidad al etanol con la altitud, mientras que, acidez, densidad y punto de congelación han experimentado disminución con la altitud.

 

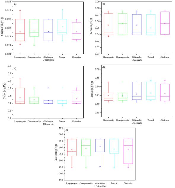
Las concentraciones de oligoelementos tóxicos y esenciales en la leche Figura 1. El Cd y Pb fueron de 0.0246± 0.0012 y 0.0251± 0.0013 mg/L en los sectores lecheros de la región andina. Mientras que, la concentraciones de medias de Cu fueron superiores ( Figura 1c) sin embargo en el caso de Fe y Ca fueron inferiores a los reportados por otros estudios Figura 1b,e , se considera los rangos deficientes para la leche de vaca cuando el Cu 0.010 a 0.020 y Fe menor a 0.2, y los rangos adecuados para el Cu son; 0.05-0.6 y Fe 0.2-0.063 mg/L. de acuerdo a los resultados encontrados la leche producida en el área de estudio  es de buena fuente de oligoelementos para la población local.

 


Tabla 1. Composición proximal

Altitud, msnm

Parámetro, %

Grasa

SNG**

Proteína

Lactosa

Sales

Media ± DE*

Rango

Media ± DE

Rango

Media ± DE

Rango

Media ± DE

Rango

Media ± DE

Rango

3495

4.25 ± 0.98

2.95 - 6.24

8.49 ± 0.50

8.10 - 8.89

3.12 ± 0.18

2.97 – 3.27

4.68 ± 0.28

4.46-4.91

0.69 ± 0.04

0.66 – 0.72

3440

3.68 ± 1.09

2.44 - 6.11

8.25 ±1.14

5.39- 8.56

3.03 ± 0.42

1.98 – 3.15

4.54 ± 0.63

2.97-4.73

0.68 ± 0.09

0.44 – 0.7

3418

3.99 ± 0.65

3.16 - 4.77

8.77 ± 0.23

8.39 – 8.85

3.26 ± 0.14

3.08 – 3.52

4.83 ± 0.13

4.61-4.88

0.76 ± 0.09

0.96 – 0.72

3068

3.18 ± 1.03

3.34 - 5.77

7.99 ± 0.59

7.80 – 8.44

2.94 ± 0.22

2.87 – 3.11

4.40 ± 0.33

4.29 -4.66

0.65 ± 0.05

0.64 – 0.69

3758

3.35 ± 0.98

3.5 – 5.73

8.13 ± 0.77

6.99 – 8.37

2.99 ± 0.28

2.57 – 3.08

4.42 ± 0.56

3.58 -4.62

0.67 ± 0.03

0.57 – 0.68

 

Tabla 2. Resultados propiedades físicas

Altitud, msnm

Parámetro

pH

Acidez

Densidad

Punto de congelación

Estabilidad al etanol

Media ± DE*

Rango

Media ± DE

Rango

Media ± DE

Rango

Media ± DE

Rango

Media ± DE

Rango

3495

6.707 ± 0.159

 

6.5 - 6.9

0.159 ± 0.008

 

0.15 – 0.17

1.027 ± 0.001

 

1.026 – 1.028

-0.536 ± 0.037

 

-0.462 – -0.587

66.893 ± 3.512

 

59.61 – 72.50

3440

6.657 ± 0.098

 

6.5 - 6.8

0.160 ± 0.008

 

0.15 – 0.17

1.028 ± 0.001

 

1.027 – 1.029

-0.533 ± 0.030

 

-0.491 – -0.564

66.567 ± 2.303

 

63.2 – 68.75

3418

6.700 ± 0.163

 

6.5 - 6.9

0.158 ± 0.008

 

0.15 – 0.17

1.027 ± 0.001

 

1.026 – 1.028

-0.522 ± 0.035

 

-0.462 – -0.582

65.472 ± 3.588

 

58.69 – 69.8

3068

6.671 ± 0.138

 

6.5 - 6.9

0.161 ± 0.009

 

0.15 – 0.17

1.028 ± 0.001

 

1.026 – 1.029

-0.517 ± 0.021

 

-0.491 – -0.547

67.286 ± 1.953

 

64.32 – 69.50

3758

6.750 ± 0.191

 

6.5 - 6.9

0.155 ± 0.006

 

6.99 – 8.37

1.027 ± 0.001

 

2.57 – 3.08

-0.502 ± 0.047

 

3.58 – 4.62

67.203 ± 1.696

 

0.57 – 0.68

 

 


Figura 1. Figura SEQ Figura \* ARABIC 1 Diagramas de cajas oligoelementos en las altitudes de a) 3495 msnm; b) 3440 msnm; c) 3418 msnm; d) 3068 msnm; e) 3758 msnm

 

DISCUSION

 

La composición química reportada coincide con los que se reportan donde la altitud influye en los parámetros de la calidad de leche como las proteínas, grasa, caseína con un posible variación influenciada por factores ambientales con diferentes altitudes y actividades antropogénicas que podrían generar posibles cambios fisiológicos con un impacto notable en la composición de la leche (15). Sin embargo, Miranda et al. (2), Guerra et al. (4) indican que la leche de vaca a una altitud es una fuente de alta calidad debida a su composición de grasa y proteína. Además, Gutiérrez-León et al (5) y Avelar et al. (6) indican que los factores ambientales y alimentarios como altitud y la composición del forraje, inciden en la calidad de la leche de vaca debido a las distintas formas de relieve geográfico en la que se encuentran las vacas lecheras. El manejo en condiciones de altitud procede de comportamiento natural ya que las vacas de pastoreo tienen una menor incidencia de problemas de salud en comparación con los animales confinados. En los últimos años, la grasa láctea no ha sido tan valorada como en el pasado (7).

 

Además, la grasa es el principal componente energético de la leche y los productos lácteos (16). Su cantidad es indicativa de la calidad de la leche cruda. Es una de las sustancias que tiene un impacto directo en las preferencias de los consumidores de productos lácteos. La grasa es responsable de la palatabilidad de la leche y los productos lácteos porque los compuestos volátiles responsables del sabor se disuelven en ella, dando a los productos atributos más o menos deseables (17). El sistema de alimentación ejerce la mayor influencia sobre el nivel de grasa láctea y, en menor medida, determina la cantidad de proteína (18).

 

El efecto de la altitud en la concentración de metales pesados en la leche de vaca es un tema de creciente interés, dado que la contaminación por metales pesados puede tener graves implicaciones para la salud pública. Los resultados del presente estudio mostraron que las concentraciones de Cd fueron altas, coincidiendo con estudios que reportan que las actividades antropogénicas a una altitud categorizadas según Montaña (19) los sectores donde el uso de tierra es las actividades mineras y prácticas agrícolas y empleo de pesticidas y fertilizantes son consideradas contaminantes esenciales en la producción del ganado lechero que pueden alterar la calidad de leche (1). Además, las áreas que presentan contaminación por encima de los valores del nivel máximo permitido, sin embargo las concentración del Pb bajas si las comparamos con las reportadas por estudios de Vega-Quintero y Quintero-Montenegro (20).

 

La concentración del oligoelemento toxico Pb encontrada en el estudio son mucho más bajas que las reportadas en áreas contaminadas en regiones de África o Asia Tabla 2, pero similares a los reportes de otras áreas contaminadas. Por lo tanto, de acuerdo con los resultados encontrados demuestran un efecto muy importante de los oligoelementos debido a las actividades mineras en la zona. Podemos concluir que las actividades de antropogénicas se manifiestan en los altos niveles de Pb y Cd en la leche. En la literatura, las características fisicoquímicas, biológicas, así como; la calidad, cantidad, y su composición química fluctúan debido al impacto de las actividades naturales y explotación minera (14, 15, 16). Las actividades antropogénicas a altitud dieron como resultado el enriquecimiento de metales tóxicos en sistemas geológicos y biológicos que pueden representar un problema de calidad de leche de vaca (3).

 

De acuerdo a la legislación peruana, el contenido de Pb en las muestras de estudio por encima de los límites permisibles establecidos por la comisión del codex alimentarius, unión europea y la OMS comprendido de 0.020 mg/L (7). Encontrándose que las concentraciones de Pb y Cd en el estudio fueron superiores a los límites máximos establecidos por la norma. De acuerdo a los reportes de Cu y Fe en leche de vaca en el todo el mundo presenta un rango de 0.0136 y 56 mg/L y entre 0.33 y 16.4 mg/L (11). Los valores de oligoelementos tóxicos como Pb y Cd se asocian con los cambios de oligoelementos de la leche y se afectado de manera negativa en la calidad nutricional del producto, que al considerar una reducción de contenido de Fe (15).

 

Los cambios en las características fisicoquímicas de la leche durante el período de recolección se presentan en la figura 1. Se observaron variaciones significativas (p < 0,005) en el pH de la leche durante todo el período de recolección. De acuerdo a los reportes de Asefa y Teshome (21), el pH de la leche disminuyó gradualmente y se mantuvo ligeramente por encima del valor informado de (6.66) durante todo el período de muestreo. En comparación con el estudio el pH de la leche estuvo dentro de los valores informados (6.50–6.80) por Rumbold et al. (22). Así mismo, Houwers-Wageningen (15), también documentaron una disminución del pH durante la lactancia en vacas lecheras alimentadas con pasto, heno y/o cultivos forrajeros. Atribuyeron este hallazgo al aumento de la concentración de proteínas en la leche hacia el final de la lactancia, que fue causado por la disminución natural de la producción de leche.

 

El pH de la leche afecta el tiempo de coagulación del cuajo, ya que los valores de pH más bajos se asocian con un tiempo de coagulación más corto. En cuanto a la correlación entre el pH de la leche y la mastitis subclínica, Gemechu y Amene (16), encontraron que el pH de la leche no es un método de detección eficaz para la mastitis en vacas lecheras, a pesar de los aumentos en el pH de la leche debido a la mezcla de componentes de sangre y líquido extracelular con la leche secretada.

 

La conductividad eléctrica se vio afectada de manera muy significativa durante el período examinado de acuerdo a la figura 1. A partir de junio se observaron valores significativamente más altos en relación con los valores de conductividad eléctrica registrados en los primeros tres meses de muestreo. Sin embargo, los valores de conductividad eléctrica se encuentran dentro del rango informado en el estudio de Van Hekken et al. (23). Mientras que, Foroutan et al. (18), plantean que factores como la etapa de lactancia, la estación del año y la alimentación pueden afectar la conductividad de la leche de vaca. Las características conductoras de la leche están asociadas con la presencia de sales, compuestas principalmente por cloruros, fosfatos, citratos, carbonatos y bicarbonatos de potasio, sodio, calcio y magnesio. Las concentraciones relativas de los distintos iones pueden variar ya que están influenciadas por parámetros como la raza del animal, la estación del año, la alimentación y la etapa de lactancia.

 

Por otra parte, Chauhan et al. (24) informaron que los iones (particularmente Na + , K + y Cl  ) son responsables de la mayor parte de la conductividad eléctrica de la leche, que aumenta mediante la fermentación bacteriana de lactosa a ácido láctico. En el presente estudio, los cambios en el contenido de lactosa, así como el pH de la leche se reflejan en los valores de conductividad eléctrica. Además, Portilla et al. (10), encontraron cambios significativos en las concentraciones de Na +, K + y lactosa en la leche durante la lactancia en que se mantuvieron en el interior y se alimentaron con concentrados. Guerra et al. (4) también informaron cambios en las concentraciones relativas de minerales de la leche anualmente en muestras de leche de cabra al por menor. La conductividad eléctrica de la leche se ha introducido como un rasgo indicador para la detección de mastitis en vacas, porque los cambios en el contenido de lactosa y minerales durante las condiciones de mastitis influyen en la conductividad eléctrica. Sin embargo, la conductividad eléctrica no es un buen indicador de mastitis en cabras lecheras (23).

 

Con respecto a la densidad de la leche, no se observaron diferencias significativas durante el período de muestreo (tabla 2). La densidad estuvo dentro de los valores informados dados por Avelar et al. (6) (1,027–1,039 g/ml), mientras que, Guerra et al. (4) informaron un efecto similar. Los valores de densidad de la leche superaron los 1,026 g/mL, que es el valor mínimo requerido por la legislación alimentaria Según Rumbold et al. (22) la densidad de la leche de leche de vaca está directamente relacionada con los componentes de la leche, principalmente caseína y grasa, lo que indica que el contenido de estos componentes no varió significativamente durante el período de muestreo.

La temperatura del punto de congelación tampoco se vio afectada significativamente durante el período de muestreo, la estuvo dentro del rango informado por Chauhan et al. (26) de 0,532–0,558 °C. Se observaron puntos de congelación más altos a medida que aumentaba la altitud. Šertović et al. (25), quienes habían relacionado este efecto con la transición del invierno al pastoreo. Por su parte, Guerra et al. (4) también informaron que factores como una alimentación inadecuada, una proporción significativa de semillas en las dietas (a diferencia de pastos o heno), dietas carentes de forraje, una proporción elevada de proteínas y grasas saturadas en el establo, azúcares digeribles reducidos o La energía, la ingesta de cloruro de sodio (NaCl), la escasez de agua y las altas temperaturas pueden provocar alteraciones en el punto de congelación de la leche de vaca. Los valores elevados del punto de congelación suelen estar relacionados con la adición deliberada de agua para aumentar las cantidades de leche comercializable. Sin embargo, dado que el valor monetario de la leche se basa en el contenido de grasas y proteínas, esta práctica se utiliza con poca frecuencia.

 

La estabilidad del etanol se define como la concentración mínima de etanol acuoso añadido que da como resultado la coagulación de la leche. Está relacionado con las propiedades químicas de la leche, incluido el pH, el contenido de cationes divalentes y el equilibrio salino. La estabilidad del etanol de la leche de vaca depende del pH con un perfil de pH sigmoideo típico; aumentar el valor del pH de la leche aumenta su estabilidad al etanol. En cuanto a la fracción de caseína, la adición de etanol a la leche permite la interacción entre las cargas de la capa de κ-caseína al reducir la constante dieléctrica del medio, lo que disminuye las cargas micelares negativas y su fuerza de repulsión y luego promueve la coagulación de la leche. Por tanto, es relevante conocer cómo el etanol desestabiliza las proteínas de la leche desde un punto de vista tecnológico (25).

 

CONCLUSIONES

 

Se concluye que, la altitud ejerce efecto marcado sobe las características de la leche, con altos contenidos de proteína, grasa, solidos no grasos SNG, lactosa y concentración de sales y poca variabilidad en cuanto a sus características físicas en cuanto a pH, acidez, densidad, punto de congelación y estabilidad al etanol.

 

Aunque son escasos los estudios específicos sobre metales pesados en la leche proveniente de un hato libre en Perú, investigaciones en regiones cercanas han mostrado preocupaciones sobre la contaminación por plomo y otros metales. La presencia de estos contaminantes puede ser un indicador crítico de la calidad ambiental y alimentaria, vale destacar que en el actual estudio los oligoelementos tóxicos y esenciales en la leche se pueden considerar bajos para el consumo de la población.

 

CONFLICTO DE INTERESES.

 

Los autores declaran que no existe conflicto de intereses para la publicación del presente artículo científico.

 

REFERENCIAS BIBLIOGRÁFICAS

1. Parra-Cortés R, Magaña-Magaña M. Características técnico-económicas de los sistemas de producción bovina basados en razas criollas introducidas en México. Ecosistemas y recursos agropecuarios. 2019; 6(18): 535-547. https://acortar.link/Oqk9qV

2. Miranda O., Ramírez E, Núñez J. Sobre las características fisíco-químicas, nutrimentales y microbiológicas de la leche de búfala. Revista Cubana de Alimentación y Nutrición. 2023; 32(1): 6. https://acortar.link/Zv76SE

3. Jaramillo M, Acosta L, Palacios C, Coronado M. Implicaciones sobre la salud humana del consumo de leche de vaca. Revista de la Facultad de Ciencias de la Salud Universidad del Cauca. 2023; 25(2): e2225-e2225. https://acortar.link/CrjVeN

4. Guerra U, Sucari R, Quispe Y, Chuchi E, Ruelas E, Durand M. Aplicación de un modelo “ARIMA” para pronosticar la producción de leche en vacas Brown Swiss del altiplano peruano. Journal of the Selva Andina Animal Science. 2022; 9(2): 77-83. https://acortar.link/NxpKAM

5. Gutiérrez-León F, Bolívar Lastra-Bravo X, Cali V. Estimación de la huella de carbono de las ganaderías de leche de la zona andina del ecuador. Chilean journal of agricultural & animal sciences. 2023; 39(3): 305-318. https://acortar.link/xA0g07

6. Alvear D, Guerrero J, Bonifaz N, Noriega P. Calidad composicional y concentración de ácidos grasos omega-3 (alfa-linolénico) y omega-6 (linoleico) presentes en leche bovina de tres regiones naturales del Ecuador. Revista de la Facultad de Medicina Veterinaria y de Zootecnia. 2021; 68(2): 150-169. https://acortar.link/4Zt0UE

7. Olarte S, Olarte C. La producción de leche orgánica en la región Puno: una alternativa de desarrollo sostenible. Mundo agrario. 2013; 13(26). https://acortar.link/Y2ZHM4

8. Morales D, Pacheco R. (2020). Condiciones de la innovación pecuaria y producción de lácteos en comunidades altoandinas. Ambiente, Comportamiento y Sociedad. 2020; 3(2): 56-66. https://acortar.link/aw847B

9. Plaza L, Concha V, Ramones L, Silva F. Composición nutricional de la leche de bovinos Holstein mestizos durante la primera lactancia en la provincia de Chimborazo. Polo del Conocimiento: Revista científico-profesional. 2022; 7(7): 1667-1682. https://acortar.link/Fnpc92

10. Portilla E, Reyes B, Cardona-Álvarez J, Monter-Vergara D. Relación calcio, fosforo, magnesio y selenio sobre la reproducción en vacas lecheras durante el periodo de transición. Revista colombiana de ciencia animal recia. 2021; 13(2): 72-79. https://acortar.link/XIbcSV

11. Tafur D, Lapa R. Metales pesados en la producción ganadera lechera y riesgos a la salud humana. Ciencia Latina Revista Científica Multidisciplinar. 2022; 6(1): 3629-3645. https://acortar.link/eMvDmX

12. AOAC. Official methods of analysis of AOAC International (18.a ed). AOAC International. 2005. https://t.ly/3NZDV

13. Lan X, Wang Y, Deng S, Zhao J, Wang L, Yao K, Jia D. Physicochemical and rheological properties of Tremella fuciformis polysaccharide fractions by ethanol precipitation. CyTA-Journal of Food. 2021; 19(1): 645-655. https://acortar.link/2ipoVX

14. Arrizabalaga J, Jalón M, Espada M, Cañas M, Latorre P. Contenido de yodo de la leche convencional ultrapasteurizada (UHT) de vaca: Variaciones a lo largo del año y diferencias regionales. Implicaciones para los estudios epidemiológicos sobre el estado de nutrición de yodo. Endocrinología, Diabetes y Nutrición. 2020; 67(6): 383-393. https://acortar.link/sjC9tW

15. Houwers-Wageningen H. Comparación productiva y de calidad en leche de vacas Holstein pastoreando en diferentes sistemas del trópico alto. Acta Agronómica. 2021; 70(1): 35-41. https://acortar.link/EacNgd

16. Gemechu T, Amene T. Physicochemical properties and microbial quality of raw cow milk produced by smallholders in Bench Maji-Zone, Southwestern Ethiopia. ESAP P. 2021; 229. https://acortar.link/fKJpvU

17. Kalkan S, Balpetek D. Comparing the quality properties of cow milk and hazelnut milk fermented by viili yogurt culture. Journal of Culinary Science & Technology. 2024; 22(5): 1008-1024. https://acortar.link/GRvLJt

18. Foroutan A, Guo A, Vazquez-Fresno R, Lipfert M, Zhang L, Zheng J, Wishart D. Chemical composition of commercial cow’s milk. Journal of agricultural and food chemistry. 2019; 67(17): 4897-4914. https://acortar.link/HlGP6o

19. Montaña J. Metales pesados en leche como bioindicadores de contaminación mediombiental. memoria de la xxiv reunión internacional sobre producción de carne y leche en climas cálidos, 2019. 115. https://acortar.link/aj2q6c

20. Vega-Quintero M, Quintero-Montenegro R. Caracterización fisicoquímica y microbiológica de la leche de ganado jersey en Panamá. Ciencia Agropecuaria. 2023; (36): 96-117. https://acortar.link/8IAeiz

21. Asefa Z, Teshome G. Physical properties and chemical compositions of raw cow milk in milk shades around addis ababa, Ethiopia. Journal of Natural Sciences Research. 2019; 9(19): 33-37. https://acortar.link/6dVYxD

22. Rumbold P, McCullogh N, Boldon R, Haskell-Ramsay C, James L, Stevenson E, Green, B. The potential nutrition-, physical-and health-related benefits of cow’s milk for primary-school-aged children. Nutrition Research Reviews. 2022; 35(1): 50-69. https://acortar.link/ZtXcGB

23. Van Hekken D, Renye Jr J, Bucci A, Tomasula P. Characterization of the physical, microbiological, and chemical properties of sonicated raw bovine milk. Journal of dairy science. 2019; 102(8): 6928-6942. https://acortar.link/bEm2uG

24. Chauhan S, Powar P, Mehra R. A review on nutritional advantages and nutraceutical properties of cow and goat milk. International Journal of Applied Research. 2021; 7(10): 101-105. https://acortar.link/3JRRvc

25. Šertović E, Sarić Z, Barać M, Barukčić I, Kostić A, Božanić R. Physical, chemical, microbiological and sensory characteristics of a probiotic beverage produced from different mixtures of cow's milk and soy beverage by lactobacillus acidophilus La5 and yoghurt culture. Food technology and biotechnology. 2019; 57(4): 461. https://acortar.link/dwmyQN