ALFA. Revista de Investigación
en Ciencias Agronómicas y Veterinarias
Septiembre-diciembre
2024 / Volumen 8, Número 24
ISSN:
2664-0902 / ISSN-L: 2664-0902
https://revistaalfa.org
pp. 939 -
955
![]()
Validez y confiabilidad de la escala de actitud ambiental
hacia los residuos sólidos
Validity
and reliability of the environmental attitude scale towards solid waste
Validade e
confiabilidade da escala de atitude ambiental em relação aos resíduos sólidos
Jose Carlos
Ayuque-Rojas1
https://orcid.org/0000-0002-8735-4105
Russbelt
Yaulilahua-Huacho2
russbelt.yaulilahua@unh.edu.pe
https://orcid.org/0000-0002-7007-3059
Edwin Javier
Ccente-Chancha3
edwin.ccente@unh.edu.pe
https://orcid.org/0009-0004-2168-6010
Ligia
Isaida Rosaura Gutierrez-Deza4
Igutierrez@une.edu.pe
https://orcid.org/0000-0001-6745-5921
Magda
Mirella Ordoñez-Santoyo4
mordoñez@une.edu.pe
https://orcid.org/0000-0002-3705-9909
Herbert Rodas-Ccopa1
hrodas@unajma.edu.pe
https://orcid.org/0000-0001-9646-2573
1Universidad
Nacional José María Arguedas. Andahuaylas, Perú
2Independiente Angaraes. Huancavelica, Perú
3Universidad
Nacional de Huancavelica. Huancavelica, Perú
4Universidad Nacional de Educación Enrique Guzmán y
Valle. Lima, Perú
Artículo recibido 22 de julio 2024 | Aceptado
28 de agosto 2024 | Publicado 20 de septiembre 2024
Escanea
en tu dispositivo móvil o revisa este artículo en:
https://doi.org/10.33996/revistaalfa.v8i24.315
RESUMEN
La validez y la confiabilidad de los
instrumentos para la recolección de los datos son conceptos esenciales en la
investigación, especialmente en el ámbito de la investigación cuantitativa, ya
que son fundamentales para evaluar la calidad y precisión de los estudios. En
este sentido, el objetivo de la investigación fue evaluar la validez y
confiabilidad de la Escala de Actitud Ambiental hacia los Residuos Sólidos. Se
aplicó un cuestionario de 30 ítems en una escala Likert de cinco puntos, cuyos
resultados fueron analizados por cuatro expertos. Los hallazgos indicaron que
todos los ítems son válidos, con medias superiores al 60%, y una confiabilidad
alta, evidenciada por un alfa de Cronbach de 0.946 y un Omega de McDonald de
0.947. La correlación ítem-resto también fue significativa, destacando que la
mayoría de los ítems contribuyen efectivamente al constructo medido. Estos resultados
subrayan la utilidad del instrumento para medir actitudes ambientales,
garantizando su validez y confiabilidad, lo que es esencial para futuras
investigaciones en el área de gestión de residuos sólidos.
Palabras clave: Actitud Ambiental; Alfa de Cronbach; Confiabilidad; Omega de McDonald;
Validez
ABSTRACT
The validity and
reliability of instruments for data collection are essential concepts in
research, especially in the field of quantitative research, as they are
fundamental for evaluating the quality and accuracy of studies. In this sense,
the objective of the research was to evaluate the validity and
reliability of the Environmental Attitude Scale towards Solid Waste. A
questionnaire consisting of 30 items was applied using a five-point Likert
scale, and the results were analyzed by four experts. The findings indicated
that all items are valid, with means above 60%, and a high reliability,
evidenced by a Cronbach's alpha of 0.946 and a McDonald's omega of 0.947. The
item-rest correlation was also significant, highlighting that most items
effectively contribute to the measured construct. These results
underscore the utility of the instrument for measuring environmental attitudes,
ensuring its validity and reliability, which is essential for future research
in solid waste management.
Key words: Cronbach's Alpha; Environmental Attitude; Reliability; McDonald's
Omega; Validity
RESUMO
A validade e a
confiabilidade dos instrumentos para coleta de dados são conceitos essenciais
na pesquisa, especialmente no campo da pesquisa quantitativa, pois são
fundamentais para avaliar a qualidade e precisão dos estudos. Nesse sentido, o objetivo
da pesquisa foi avaliar a validade e confiabilidade da Escala de Atitude
Ambiental em relação aos Resíduos Sólidos. Um questionário composto por 30
itens foi aplicado utilizando uma escala Likert de cinco pontos, e os
resultados foram analisados por quatro especialistas. Os achados indicaram que
todos os itens são válidos, com médias acima de 60%, e uma alta confiabilidade,
evidenciada por um alfa de Cronbach de 0,946 e um ômega de McDonald de 0,947. A
correlação item-rest também foi significativa, destacando que a maioria dos
itens contribui efetivamente para o construto medido. Esses resultados
sublinham a utilidade do instrumento para medir atitudes ambientais, garantindo
sua validade e confiabilidade, o que é essencial para futuras pesquisas em
gestão de resíduos sólidos.
Palavras-chave: Atitude Ambiental; Alfa de
Cronbach; Confiabilidade; Ômega de McDonald; Validade
INTRODUCCIÓN
La validez y la
confiabilidad de los instrumentos para la recolección de los datos son
conceptos esenciales en la investigación, especialmente en el ámbito de la
investigación cuantitativa, ya que son fundamentales para evaluar la calidad y
precisión de los estudios. La validez se refiere a la capacidad de un
instrumento o método para medir lo que realmente pretende medir, asegurando que
los resultados reflejen con precisión el fenómeno investigado (1). Existen
diferentes tipos de validez, como la validez interna, que se relaciona con la
ausencia de sesgos en el diseño del estudio; la validez externa, que evalúa la
generalización de los resultados a otras poblaciones o contextos; y la validez
de contenido, que examina si los ítems del instrumento representan
adecuadamente el constructo teórico (2). La validez de contenido es
particularmente importante en el desarrollo de instrumentos de medición, ya que
garantiza que todos los aspectos del constructo están representados
adecuadamente y que los ítems son relevantes para el objetivo del estudio (3).
Por otro lado, la
confiabilidad se refiere a la consistencia de las mediciones a través del
tiempo y diferentes condiciones. Un instrumento confiable producirá resultados
similares en diferentes momentos y contextos, lo que es crucial para asegurar
la estabilidad de los hallazgos (4). La confiabilidad puede ser evaluada mediante
diferentes métodos, incluyendo el coeficiente alfa de Cronbach y el coeficiente
Omega, que permiten determinar si los ítems de un cuestionario están midiendo
el mismo constructo (5). En investigaciones sociales donde las percepciones y
actitudes pueden ser complejas y multifacéticas, contar con instrumentos
válidos y confiables es esencial para obtener resultados significativos.
Para medir la validez
de contenido en un cuestionario, se pueden seguir varios pasos y métodos que
aseguran que los ítems incluidos representen adecuadamente el constructo que se
desea evaluar. Primero, es fundamental realizar un examen sistemático del
contenido del cuestionario, lo que implica revisar si todos los aspectos
relevantes del constructo están incluidos y si no hay ítems que midan aspectos
no relacionados. Esto puede hacerse a través de la opinión de expertos en el
tema, quienes pueden evaluar la pertinencia y relevancia de cada ítem en
relación con el constructo (6,7). En este sentido, es recomendable llevar a
cabo estudios piloto donde se aplique el cuestionario a una muestra
representativa. Esto permite observar cómo los participantes interpretan y
responden a los ítems, proporcionando información adicional sobre la validez de
contenido del instrumento.
En este contexto, la
prueba de t de Student es un método fundamental en la evaluación de la validez
y confiabilidad de la información científica en estudios sociales,
especialmente cuando se trabaja con muestras pequeñas. Esta prueba permite
determinar si las diferencias observadas entre las medias de dos grupos son
estadísticamente significativas, lo que es crucial para validar hipótesis en
investigaciones. Al utilizar la distribución t, los investigadores pueden
realizar inferencias sobre una población a partir de una muestra, considerando
que la varianza poblacional es desconocida. Esto es particularmente relevante
en estudios sociales donde las muestras suelen ser limitadas y no siempre
cumplen con los supuestos de normalidad. La capacidad de la t de Student para manejar
la incertidumbre asociada a muestras pequeñas la convierte en una herramienta
valiosa para los investigadores, permitiendo que las conclusiones sean más
robustas y fundamentadas en datos empíricos. Además, su aplicación en pruebas
de hipótesis y estimación de intervalos de confianza refuerza su utilidad en el
análisis estadístico, facilitando la toma de decisiones informadas basadas en
evidencia (8).
Por otra parte, el
coeficiente de correlación r de Pearson corregido es otro método esencial para
evaluar la validez y confiabilidad en estudios sociales. Este coeficiente mide
la fuerza y dirección de la relación lineal entre dos variables continuas,
proporcionando un indicador cuantitativo que ayuda a los investigadores a
comprender cómo se relacionan diferentes factores dentro de un contexto social.
Su relevancia radica en que permite identificar patrones y correlaciones que
pueden ser indicativos de relaciones causales, lo cual es fundamental para
formular teorías y modelos explicativos en ciencias sociales. Sin embargo, es
importante considerar que el coeficiente r solo capta relaciones lineales y
puede ser influenciado por valores atípicos, por lo que su interpretación debe
hacerse con precaución. Al corregir el coeficiente para tener en cuenta el tamaño
muestral o la varianza, se mejora su precisión y se minimiza el riesgo de
obtener conclusiones erróneas. Esto es especialmente útil en investigaciones
donde las variables pueden estar interrelacionadas, permitiendo a los
investigadores establecer conexiones más claras entre los fenómenos estudiados
(9).
Asimismo, el
coeficiente de consistencia interna alfa de Cronbach es una herramienta
estadística fundamental para evaluar la confiabilidad de cuestionarios y
escalas en investigaciones sociales. Este coeficiente mide la consistencia
interna de un conjunto de ítems, lo que indica cómo cada ítem contribuye a
medir un mismo constructo subyacente. Un valor alto del alfa, generalmente
superior a 0.7, sugiere que los ítems están correlacionados entre sí, lo que
implica que el cuestionario es confiable (4). La capacidad del alfa de Cronbach
para identificar ítems problemáticos es crucial, ya que permite realizar
ajustes antes de aplicar el cuestionario en una muestra más amplia,
garantizando así la calidad y precisión de las mediciones (10). En contextos
sociales donde las percepciones y actitudes son complejas y multifacéticas,
contar con instrumentos confiables es esencial para obtener resultados válidos
y significativos. La literatura destaca que la validez y confiabilidad son
interdependientes; un instrumento puede ser válido solo si es confiable (2).
Por lo tanto, el uso del alfa de Cronbach no solo fortalece la validez del
estudio, sino que también asegura que los resultados reflejan con precisión las
actitudes y percepciones de los participantes.
Además, el
coeficiente de consistencia interna omega de McDonald se presenta como una
alternativa valiosa al alfa de Cronbach para evaluar la confiabilidad en
estudios sociales. A diferencia del alfa, que asume que todos los ítems
contribuyen de manera equitativa al constructo medido, el omega permite estimar
la confiabilidad considerando diferentes cargas factoriales entre los ítems.
Esta característica lo hace especialmente útil en situaciones donde se espera
que los ítems tengan diferentes niveles de contribución al constructo general
(5). Por ejemplo, en escalas multidimensionales o cuando se sospecha que los
ítems no son igualmente representativos del constructo subyacente, el uso del
omega proporciona una medida más precisa de la consistencia interna (11).
Adicionalmente, la
creciente adopción del coeficiente Omega en investigaciones sociales se debe a
su capacidad para ofrecer una evaluación más matizada de la confiabilidad, lo
que ayuda a los investigadores a desarrollar instrumentos más robustos y
válidos para medir conceptos complejos. La literatura científica ha destacado
que el omega no solo refleja la consistencia interna, sino que también puede
identificar ítems que contribuyen desproporcionadamente a la variabilidad total
del instrumento (12). Esto es particularmente relevante en contextos donde las
percepciones y actitudes son multifacéticas, ya que un instrumento confiable es
esencial para obtener resultados válidos y significativos. En resumen, el coeficiente
omega representa un avance en la evaluación de la confiabilidad, permitiendo a
los investigadores abordar la complejidad de los constructos sociales de manera
más efectiva.
Por tanto, el
objetivo de la presente investigación es evaluar la Validez y Confiabilidad de la
Escala de Actitud Ambiental hacia los Residuos Sólidos (13).
MATERIALES
Y MÉTODOS
La investigación se
realizó adoptando un enfoque cuantitativo, un alcance descriptivo y un diseño
transversal, la misma se desarrolló en el Colegio Las Américas del distrito
Ascensión de la provincia y región Huancavelica, Perú. Para el estudio, se seleccionó de manera
intencional una muestra compuesta por 40 estudiantes del tercer año de
secundaria.
En este sentido fue
empleada como técnica de recolección de datos la encuesta y como instrumento un
cuestionario denominado Escala de actitud
ambiental hacia los residuos sólidos, con 30 ítems en escala de Likert de cinco
puntos Tabla 1, 1. Totalmente en desacuerdo, 2. En desacuerdo, 3. Ni de acuerdo
ni en desacuerdo, 4. De acuerdo y 5. Totalmente de acuerdo, el cual fue
examinado por cuatro expertos, con cinco opciones de opinión: 1. Deficiente (0
a 20%), 2: Malo (21 a 40%), 3: Regular (41 a 60%), 4: Bueno (61 a 80%) y 5:
Excelente (81 a 100%), evaluando su validez de contenido por criterios y
especifica por ítems con la estadística t de Student y determinando su validez
de constructo con el coeficiente de correlación r de Pearson corregida, y su
confiabilidad con los coeficientes de consistencia interna alfa de Cronbach y
omega de McDonald.
Tabla 1. Dimensiones e ítems
de la escala de actitud ambiental
|
Dimensiones |
Ítems |
|
Actitud ambiental
Cognitiva |
1. Los envases de
plásticos de un solo uso (botellas, envoltorios y bolsas), ¿son una
preocupación ambiental? |
|
2. Utilizar los tachos de basura de
manera correcta es importante para prevenir impactos negativos en el
ambiente. |
|
|
3. Debemos detener
la creación de fábricas que perjudican a la naturaleza. |
|
|
4. Cada persona tiene la
responsabilidad de contribuir a la disminución de residuos sólidos. |
|
|
5. El reducir,
reutilizar y reciclar es una estrategia adecuada para la gestión de los
residuos sólidos. |
|
|
6. Las empresas deben encargarse de
reciclar los residuos generados por su producción. |
|
|
7. La separación de
los residuos sólidos en categorías orgánicas e inorgánicas es una medida que
contribuye a la disminución de la contaminación ambiental. |
|
|
8. Acatar los avisos y/o carteles
acerca de la preservación del ambiente contribuye a mantener áreas libres de
contaminación. |
|
|
9. El mal manejo de
los residuos sólidos guarda una relación directa con el cambio climático y
sus repercusiones globales |
|
|
10. Los gobiernos locales y
regionales deben encargarse en reciclar los residuos sólidos generados por la
población. |
|
|
Actitud
ambiental Afectiva |
11. Reducir la
cantidad de residuos sólidos hace feliz a las personas |
|
12. Las consecuencias negativas que
los residuos sólidos pueden ocasionar en el entorno ambiental generan
inquietud en las personas. |
|
|
13. Participar en el
proceso de reciclaje y reutilización de los residuos sólidos genera
satisfacción en las personas. |
|
|
14. Es necesario leer y obedecer las
señales e indicaciones ambientales en la comunidad. |
|
|
15. Es necesario
leer y obedecer las indicaciones de los letreros relacionados con el ambiente
en la institución educativa. |
|
|
16. Da tristeza mirar en la
televisión noticias sobre la destrucción ambiental. |
|
|
17. Me molesta ver a
mis compañeros tirando basura tanto en el salón de clases como en el patio
del colegio. |
|
|
18. Me siento culpable cuando genero
una gran cantidad de residuos sólidos no reciclables. |
|
|
19. Me preocupa el
impacto ambiental que causan los residuos sólidos mal gestionados. |
|
|
20. Siento satisfacción cuando puedo
reciclar y reducir la cantidad de residuos que produzco. |
|
|
Actitud ambiental
Conativo |
21. Separo papeles,
plásticos y vidrios para reciclarlos en tachos de basura. |
|
22. Prefiero emplear bolsas de tela
reutilizables en vez de las de bolsas de plástico. |
|
|
23. Participo en
programas de plantación de árboles en mi localidad. |
|
|
24. Participo en actividades de
eliminación de residuos sólidos en los ríos, parques y calles. |
|
|
25. Prefiero los
productos de limpieza que sean ecológicos y que se descompongan de forma
biodegradable. |
|
|
26. Sensibilizo a mi familia sobre la
importancia del cuidado del ambiente. |
|
|
27. Sensibilizo a mi
comunidad sobre la importancia del cuidado del ambiente. |
|
|
28. Comparto información con mis
amigos y compañeros de clase sobre la relevancia de la gestión en favor del
adecuado manejo de los desechos sólidos. |
|
|
29. Apoyo a las
políticas locales que promuevan la reducción y el reciclaje de los residuos
sólidos. |
|
|
30. Informo a las autoridades cuando
hay situaciones de contaminación ambiental. |
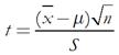
La validez de
contenido del instrumento se realiza comparando la media real de las
calificaciones del criterio de los expertos con la media teórica que indique al
menos calidad buena (60). Dado que la muestra de expertos es pequeña (n = 4 y n
< 50), la media de cada criterio se evalúa con la estadística t de Student
para una media en muestras pequeñas. Las hipótesis estadísticas nula H0
y alternativa H1 a contrastar son las siguientes:
H0:
El criterio X no es válido cuando la media de las calificaciones del indicador
X es menor o igual a 60 (H0: m ≤ 60)
H1:
El criterio es válido cuando la media de las calificaciones del indicador X es
mayor a 60 (H1: m > 60)
m: es la
media poblacional de las calificaciones del criterio X. El punto crítico de 60
se establece en base a la calidad buena o excelente del criterio.
La
función de prueba es la t de Student con (n–1) grados de libertad, definida
como:
donde
x barra y S son la media y la desviación estándar muestrales de las
calificaciones de los expertos al criterio X, respectivamente; n es el número
de expertos.
Para a = .05, n
= 4 y un contraste unilateral superior (H1: m >
60), el valor teórico de la t de Student con 3 grados de libertad es 2.353. La
hipótesis nula H0 se rechazará si su valor calculado de la t de
Student es mayor que 2.353 y el valor p es menor que .05.
La evaluación de la
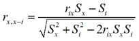
validez de constructo se realizó mediante el coeficiente de correlación r de
Pearson corregida ítem–total el cual se obtiene con:
donde:
ri, x–
i es el coeficiente de correlación r de Pearson corregida ítem–total,
rix es el
coeficiente de correlación r de Pearson cruda ítem–total,
Sx es la
desviación estándar de los puntajes totales de los sujetos,
Si es la
desviación estándar de los puntajes del ítem.
Este coeficiente toma valores entre –1 y 1;
los ítems cuyas correlaciones corregidas son superiores a .2 son válidos y, por
tanto, el instrumento es válido si todos sus ítems son válidos.
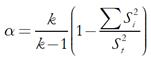
Para la evaluación de la confiabilidad se
utilizaron las siguientes pruebas:
a) El coeficiente de consistencia interna
alfa de Cronbach se calcula con:
donde:
α es el coeficiente alfa de Cronbach,
es la varianza del i-ésimo ítem,
es la varianza de los puntajes totales de los
sujetos,
k es el número de ítems
b) El coeficiente de
consistencia interna omega de McDonald se calcula con:
c) donde:
li
es
la carga factorial estandarizada del ítem i
Estos coeficientes
toman valores entre 0 y 1, y un valor mayor a 0.7 indica que el instrumento es
confiable.
Fue utilizado el
programa estadístico JASP v.0.18.3.0 para los análisis estadísticos de los
datos.
RESULTADOS
Los resultados de la investigación sobre la validez y confiabilidad de la Escala de Actitud Ambiental hacia los Residuos Sólidos subrayan la utilidad del instrumento para medir actitudes ambientales y garantizan su validez y confiabilidad, lo cual es esencial para futuras investigaciones en gestión de residuos sólidos. En conjunto, estos resultados proporcionan una base sólida para el desarrollo de intervenciones educativas en este ámbito.
En este sentido, la
Tabla 2 ofrece los resultados detallados de la validez de contenido específica
por ítems, evaluada mediante la prueba t de Student con un grupo de cuatro
expertos (n = 4). Esta tabla abarca un total de 30 ítems, clasificados en tres
categorías: cognitivos (Cog1 a Cog10), afectivos (Afe11 a Afe20) y conceptuales
(Con21 a Con30). Cada ítem fue evaluado por los expertos, quienes asignaron
puntuaciones que varían entre 60 y 95. Por ejemplo, el ítem Cog1 recibió
puntuaciones de 70, 70, 85 y 90, resultando en una media de 78.75 y una
desviación estándar de 10.31. Además, se presentan los valores t calculados y
sus correspondientes valores p para cada ítem, donde muchos muestran
significancia estadística. Ítems como Cog5, Cog6, Cog7 y Afe13 tienen valores p
inferiores a 0.01, indicando una alta significancia. Los asteriscos junto a los
valores t resaltan el nivel de significancia, donde (*) indica altamente
significativa (p < .05) y (**) indica altamente significativa (p < .01).
Estos resultados sugieren que muchos de los ítems evaluados son considerados
válidos desde el punto de vista del contenido según las opiniones de los
expertos, lo que es fundamental para garantizar la calidad y relevancia del
contenido en el contexto del estudio. En conjunto, la tabla proporciona una
base sólida para futuras investigaciones en esta área, destacando la
importancia de las evaluaciones expertas en el proceso de validación.
Tabla 2. Validez de contenido específica por ítems con la t de Student (n = 4)
|
Item |
Expertos |
Media |
DE |
t calculada |
Valor p |
|||
|
Exp 1 |
Exp 2 |
Exp 3 |
Exp 4 |
|||||
|
Actitud ambiental Cognitiva |
||||||||
|
Cog1 |
70 |
70 |
85 |
90 |
78.75 |
10.31 |
3.64* |
0.018 |
|
Cog2 |
75 |
70 |
90 |
80 |
78.75 |
8.54 |
4.39* |
0.011 |
|
Cog3 |
75 |
60 |
75 |
80 |
72.50 |
8.66 |
2.89* |
0.032 |
|
Cog4 |
60 |
85 |
90 |
85 |
80.00 |
13.54 |
2.95* |
0.030 |
|
Cog5 |
79 |
75 |
85 |
90 |
82.25 |
6.60 |
6.74** |
0.003 |
|
Cog6 |
76 |
90 |
85 |
95 |
86.50 |
8.10 |
6.54** |
0.004 |
|
Cog7 |
75 |
90 |
90 |
95 |
87.50 |
8.66 |
6.35** |
0.004 |
|
Cog8 |
76 |
90 |
90 |
80 |
84.00 |
7.12 |
6.74** |
0.003 |
|
Cog9 |
76 |
75 |
85 |
80 |
79.00 |
4.55 |
8.36** |
0.002 |
|
Cog10 |
75 |
90 |
85 |
90 |
85.00 |
7.07 |
7.07** |
0.003 |
|
Actitud ambiental Afectiva |
||||||||
|
Afe11 |
65 |
70 |
75 |
95 |
76.25 |
13.15 |
2.47* |
0.045 |
|
Afe12 |
65 |
70 |
85 |
95 |
78.75 |
13.77 |
2.72* |
0.036 |
|
Afe13 |
78 |
90 |
85 |
90 |
85.75 |
5.68 |
9.07** |
0.001 |
|
Afe14 |
78 |
90 |
90 |
80 |
84.50 |
6.40 |
7.65** |
0.002 |
|
Afe15 |
78 |
75 |
90 |
80 |
80.75 |
6.50 |
6.38** |
0.004 |
|
Afe16 |
80 |
90 |
90 |
90 |
87.50 |
5.00 |
11.00** |
0.001 |
|
Afe17 |
80 |
75 |
85 |
95 |
83.75 |
8.54 |
5.56** |
0.006 |
|
Afe18 |
79 |
70 |
85 |
90 |
81.00 |
8.60 |
4.88** |
0.008 |
|
Afe19 |
60 |
95 |
90 |
90 |
83.75 |
16.01 |
2.97* |
0.030 |
|
Afe20 |
60 |
75 |
90 |
80 |
76.25 |
12.50 |
2.60* |
0.040 |
|
Actitud ambiental Conativo |
||||||||
|
Con21 |
78 |
90 |
85 |
90 |
85.75 |
5.68 |
9.07** |
0.001 |
|
Con22 |
79 |
70 |
90 |
95 |
83.50 |
11.21 |
4.19* |
0.012 |
|
Con23 |
75 |
90 |
85 |
95 |
86.25 |
8.54 |
6.15** |
0.004 |
|
Con24 |
75 |
75 |
85 |
95 |
82.50 |
9.57 |
4.70** |
0.009 |
|
Con25 |
78 |
90 |
90 |
90 |
87.00 |
6.00 |
9.00** |
0.001 |
|
Con26 |
76 |
95 |
90 |
80 |
85.25 |
8.77 |
5.76** |
0.005 |
|
Con27 |
76 |
95 |
80 |
80 |
82.75 |
8.38 |
5.43** |
0.006 |
|
Con28 |
95 |
90 |
85 |
95 |
91.25 |
4.79 |
13.06** |
0 |
|
Con29 |
75 |
90 |
85 |
95 |
86.25 |
8.54 |
6.15** |
0.004 |
|
Con30 |
74 |
70 |
80 |
80 |
76.00 |
4.90 |
6.53** |
0.004 |
(**): Altamente significativa (p < .01);
(*): Altamente significativa (p < .05)
La Tabla 3, presenta
un análisis detallado de las estadísticas de confiabilidad de ítems
individuales, evaluadas con una muestra de 40 participantes. Esta tabla incluye
varias métricas clave para cada ítem, que permiten evaluar la consistencia
interna y la confiabilidad del instrumento utilizado en el estudio. Entre las
columnas destacadas se encuentran "If item dropped", que indica el
valor de confiabilidad McDonald’s ω si se elimina el ítem, y "Item–rest
correlation", que mide la correlación entre cada ítem y la puntuación
total del resto, donde valores más altos sugieren una buena alineación con el
constructo general.
La media y la desviación estándar también se presentan, proporcionando información sobre el rendimiento general de los participantes y la variabilidad de las respuestas. Los resultados muestran que la mayoría de los ítems tienen altos valores tanto en McDonald's ω como en Cronbach's α, indicando una buena consistencia interna; por ejemplo, Cog1 tiene un McDonald's ω de 0.946 y un Cronbach's α de 0.945. Además, la correlación ítem-rest es alta en muchos casos, como en Cog7, que presenta una correlación de 0.690. En términos de media y desviación estándar, los ítems muestran valores variados, siendo Afe15 un caso con una media de 3.325 y una desviación estándar de 1.366, lo que sugiere mayor dispersión en las respuestas. En conjunto, estos resultados son fundamentales para validar el instrumento y asegurar su eficacia en futuras investigaciones, permitiendo así una interpretación más precisa y fiable de los datos recolectados.
Tabla 3. Estadísticas de confiabilidad de ítems individuales (n = 40)
|
Item |
Si el se elimina |
Correlación del
Item-resto |
Media |
Desviación
estándar |
|
|
McDonald's ω |
Cronbach's α |
||||
|
Actitud ambiental Cognitiva |
|||||
|
Cog1 |
0.946 |
0.945 |
0.477 |
3.400 |
1.194 |
|
Cog2 |
0.945 |
0.944 |
0.648 |
3.775 |
1.000 |
|
Cog3 |
0.947 |
0.946 |
0.347 |
3.225 |
1.025 |
|
Cog4 |
0.945 |
0.944 |
0.581 |
3.425 |
1.152 |
|
Cog5 |
0.945 |
0.944 |
0.575 |
3.175 |
1.238 |
|
Cog6 |
0.946 |
0.945 |
0.470 |
3.450 |
1.108 |
|
Cog7 |
0.944 |
0.943 |
0.690 |
3.375 |
1.125 |
|
Cog8 |
0.946 |
0.945 |
0.497 |
3.125 |
1.042 |
|
Cog9 |
0.944 |
0.943 |
0.682 |
3.175 |
1.010 |
|
Cog10 |
0.945 |
0.944 |
0.575 |
3.275 |
1.219 |
|
Actitud ambiental Afectiva |
|||||
|
Afe11 |
0.945 |
0.944 |
0.569 |
3.225 |
1.143 |
|
Afe12 |
0.945 |
0.944 |
0.623 |
3.375 |
1.125 |
|
Afe13 |
0.944 |
0.943 |
0.679 |
2.675 |
1.095 |
|
Afe14 |
0.944 |
0.942 |
0.752 |
3.700 |
1.091 |
|
Afe15 |
0.943 |
0.941 |
0.830 |
3.325 |
1.366 |
|
Afe16 |
0.945 |
0.944 |
0.571 |
3.275 |
1.240 |
|
Afe17 |
0.943 |
0.941 |
0.832 |
3.100 |
1.236 |
|
Afe18 |
0.946 |
0.945 |
0.491 |
2.975 |
1.097 |
|
Afe19 |
0.944 |
0.942 |
0.736 |
3.025 |
1.187 |
|
Afe20 |
0.945 |
0.944 |
0.634 |
3.100 |
1.081 |
|
Actitud ambiental Conativo |
|||||
|
Con21 |
0.947 |
0.946 |
0.421 |
2.850 |
1.145 |
|
Con22 |
0.946 |
0.944 |
0.542 |
2.625 |
1.275 |
|
Con23 |
0.946 |
0.944 |
0.533 |
2.425 |
1.107 |
|
Con24 |
0.947 |
0.945 |
0.417 |
2.075 |
1.023 |
|
Con25 |
0.946 |
0.945 |
0.506 |
2.650 |
1.099 |
|
Con26 |
0.942 |
0.942 |
0.788 |
2.550 |
1.339 |
|
Con27 |
0.946 |
0.944 |
0.556 |
2.550 |
1.218 |
|
Con28 |
0.945 |
0.944 |
0.628 |
2.525 |
1.339 |
|
Con29 |
0.945 |
0.944 |
0.610 |
2.425 |
1.259 |
|
Con30 |
0.947 |
0.946 |
0.393 |
2.025 |
1.187 |
La Tabla 4, presenta
un resumen de las estadísticas de confiabilidad del instrumento evaluado,
destacando dos estimaciones clave: Cronbach's α y McDonald's ω. Ambas métricas
son fundamentales para determinar la consistencia interna del conjunto de ítems
utilizados en el estudio. El valor de Cronbach's α es de 0.946, lo que indica
una excelente consistencia interna, ya que valores superiores a 0.90 son
considerados óptimos. Por su parte, McDonald's ω presenta un valor de 0.947,
sugiriendo también una alta confiabilidad del instrumento. Además, se incluyen
los límites del intervalo de confianza del 95% para ambas estimaciones; el
límite inferior para Cronbach's α es 0.916, lo que refuerza la idea de que la
confiabilidad es alta, mientras que el límite inferior para McDonald's ω es
0.923, respaldando la solidez del instrumento. En cuanto a los límites
superiores, Cronbach's α alcanza 0.967 y McDonald's ω llega a 0.971, indicando
que la confiabilidad podría ser aún mayor. En conjunto, estos resultados
proporcionan una visión clara y concisa sobre la confiabilidad del instrumento,
mostrando que ambos índices son altos y que los intervalos de confianza son
estrechos, lo que sugiere que el conjunto de ítems es altamente confiable y
adecuado para su uso en investigaciones futuras, validando así la calidad del
instrumento y asegurando su eficacia en la recolección de datos.
Tabla 4.
|
Estimado |
Cronbach's α |
McDonald's ω |
|
Estimación puntual |
0.946 |
0.947 |
|
95% CI limite inferior |
0.916 |
0.923 |
|
95% CI limite superior |
0.967 |
0.971 |
Con los resultados de
las secciones 1 y 2 se afirma que la Escala de actitud ambiental hacia los
residuos sólidos es válida y confiable.
Discusión
El análisis de la
validez de contenido en estudios sociales es fundamental para asegurar la
calidad y relevancia de los instrumentos utilizados en la investigación. Los
resultados presentados ofrecen una visión integral sobre cómo se evalúa la
validez y confiabilidad de estos instrumentos mediante métodos estadísticos
rigurosos, en particular la prueba t de Student y métricas de consistencia
interna como Cronbach's α y McDonald's ω. A continuación, se discuten las
semejanzas y diferencias con otras investigaciones relevantes en el campo.
En este contexto, el
instrumento de recolección de datos utilizado en la investigación fue la Escala
de actitud ambiental hacia los residuos sólidos, que consta de 30 ítems
evaluados mediante una escala de Likert de cinco puntos. Esta escala permite
medir las actitudes desde "Totalmente en desacuerdo" hasta
"Totalmente de acuerdo", lo que facilita la obtención de datos sobre
las percepciones ambientales de los participantes. Para asegurar la validez del
instrumento, este fue revisado por expertos, quienes evaluaron su contenido
utilizando criterios específicos que incluyeron una estadística t de Student
para determinar su validez de contenido genérica y específica (14,15).
Sin embargo, los
resultados obtenidos en investigaciones previas han indicado que, si bien las
actitudes hacia la gestión de residuos sólidos pueden ser positivas entre los
estudiantes, este estudio no busca evaluar el cambio de actitudes, sino validar
y verificar la confiabilidad del instrumento utilizado. Por ejemplo, un estudio
realizado en Lima reportó un grado promedio de 4.605 en una escala similar, lo
que sugiere una tendencia favorable hacia la gestión adecuada de residuos (15,
16). Sin embargo, es fundamental aclarar que este trabajo se centra en la
validez y confiabilidad del cuestionario aplicado y no en la modificación de
comportamientos o actitudes. Este tipo de investigación es esencial para
establecer instrumentos que permitan medir efectivamente las actitudes
ambientales, contribuyendo así a la creación de herramientas que faciliten la
promoción de comportamientos proambientales y la reducción del impacto
ambiental asociado a los residuos sólidos, un tema cada vez más relevante en el
contexto actual del cambio climático y la salud pública (17).
Por otro lado, una
similitud notable entre el estudio presentado y otras investigaciones sobre la
validación de instrumentos es el uso de expertos para evaluar la validez de
contenido. En este caso, se evaluaron 30 ítems distribuidos en categorías
cognitivas, afectivas y conceptuales, donde los expertos asignaron puntuaciones
que reflejan su juicio sobre la relevancia y claridad de cada ítem (17). Este
enfoque también se observa en otros estudios, como el realizado por
investigadores que construyeron un banco de ítems para evaluar aptitudes
específicas, donde se aplicó un juicio experto similar para validar el
contenido (18, 19). Ambos enfoques subrayan la importancia del consenso experto
como una fuente fundamental para establecer la validez del instrumento.
Asimismo, tanto el
análisis presentado como otros estudios utilizan análisis estadísticos para
respaldar sus conclusiones. En el caso del estudio inicial, se reportan valores
t y p que indican significancia estadística para varios ítems, sugiriendo que
estos son válidos desde una perspectiva cuantitativa. Investigaciones similares también aplican pruebas
estadísticas como el coeficiente α de Cronbach y correlaciones ítem-total para
evaluar la fiabilidad y validez de sus instrumentos (18).
No obstante, existen
diferencias con otros trabajos realizados en este campo en los métodos
utilizados para la validación de la información. Mientras que el presente
estudio se centra en la prueba t de Student para evaluar diferencias
significativas entre las puntuaciones asignadas por expertos, otros estudios
pueden emplear enfoques más complejos como la Teoría de Respuesta al Ítem (TRI)
(19). La TRI permite un análisis más detallado a nivel de ítem, considerando no
solo las respuestas de los examinados sino también las características
psicométricas de cada ítem. Esto puede ofrecer una visión más matizada sobre cómo
cada ítem se comporta dentro del conjunto del instrumento. Otra diferencia
radica en el número y tipo de expertos involucrados. En el análisis presentado,
solo se consultó a cuatro expertos, lo cual puede limitar la diversidad de
opiniones y experiencias. En contraste, algunos estudios incluyen un mayor número
de evaluadores o grupos multidisciplinarios para asegurar una representación
más amplia del contenido evaluado. Esto puede influir en la robustez de los resultados
obtenidos y su aplicabilidad a contextos más amplios (17,18).
Asimismo, la
evaluación de confiabilidad también es un aspecto crucial abordado. Los
resultados muestran altos valores tanto para Cronbach's α como para McDonald's
ω, indicando una excelente consistencia interna del instrumento. Este enfoque
es consistente con otros estudios que también reportan altos coeficientes de
confiabilidad como indicativo de un instrumento bien diseñado. Sin embargo, algunos estudios pueden utilizar diferentes
métricas o métodos adicionales para evaluar la confiabilidad, lo que puede
ofrecer una perspectiva más completa sobre el rendimiento del instrumento (17).
En resumen, la
integración del juicio experto con técnicas estadísticas robustas resulta ser
un componente fundamental para garantizar tanto la validez como la
confiabilidad de los instrumentos utilizados en la investigación. La validez se
refiere a la capacidad del instrumento para medir lo que realmente pretende
evaluar, mientras que la confiabilidad se relaciona con la consistencia y
estabilidad de las mediciones a lo largo del tiempo. Ambas características son
esenciales no solo para asegurar la calidad del instrumento en sí, sino también
para validar los resultados obtenidos en investigaciones sociales, lo que a su
vez contribuye a la credibilidad y utilidad de los hallazgos en el campo.
CONCLUSIONES
El instrumento Escala de Actitud Ambiental hacia los Residuos Sólidos es tanto válido como confiable para evaluar actitudes ambientales. Los resultados obtenidos indican que la escala, compuesta por 30 ítems, ha sido rigurosamente validada mediante el juicio de expertos y análisis estadísticos, lo que asegura su capacidad para reflejar adecuadamente las percepciones sobre la gestión de residuos. La alta consistencia interna, evidenciada por los valores de Cronbach's α y McDonald's ω, refuerza la solidez del instrumento. Además, la evaluación de contenido realizada por expertos destaca la relevancia y claridad de los ítems, lo que es fundamental para garantizar la calidad del contenido. Estos hallazgos no solo validan el uso de la escala en futuras investigaciones, sino que también subrayan su importancia en el desarrollo de intervenciones educativas orientadas a fomentar comportamientos proambientales y contribuir a la sostenibilidad en la gestión de residuos sólidos.
CONFLICTO DE INTERESES.
Los autores declaran
que no existe conflicto de intereses para la publicación del presente artículo
científico.
REFERENCIAS BIBLIOGRÁFICAS
1. Creswell J, Creswell J. Research
Design: Qualitative, Quantitative, and Mixed Methods Approaches. 5th edition.
Los Angeles London New Delhi Singapore Washington DC Melbourne: SAGE
Publications, Inc; 2018. 304 p. https://acortar.link/qNsFMw
2. Polit D, Beck C. Nursing research:
principles and methods. 7th ed. Philadelphia: Lippincott Williams &
Wilkins; 2004. 758 p. https://acortar.link/ctnh9Y
3. Lynn M. Determination and
quantification of content validity. Nurs Res. 1986;35(6):382-5.
https://acortar.link/ctnh9Y
4. Tavakol M, Dennick R. Making sense
of Cronbach’s alpha. Int J Med Educ. 2011; 2:53-5. https://acortar.link/vwyK5y
5. McDonald R. Test Theory: A Unified
Treatment. 1st edition. Mahwah, N.J: Lawrence Erlbaum Associates; 1999. 498 p.
https://acortar.link/IhSOzI
6. García
M, Rodríguez F, Carmona L. Validación de cuestionarios. Reumatol Clínica. 2009;
5(4):171-7. https://acortar.link/C0h97m
7. Riva N.
Validación de cuestionarios para la medición de variables en salud: conceptos
fundamentales. MEDWAVE. 2024; 24(01):e2746. https://acortar.link/qsGD3Y
8.
elmundodelosdatos. Distribución t de Student: Funcionamiento, propiedades y
aplicaciones en estadística. El mundo de los datos. 2023.
https://acortar.link/uPFXAx
9. Lalinde
J, Castro F, Rodríguez J. Sobre el uso adecuado del coeficiente de correlación
de Pearson: definición, propiedades y suposiciones. Arch Venez Farmacol Ter. 2018;37(5):578-601. https://acortar.link/xPNLPj
10. DeVellis R. Scale development:
theory and applications. Fourth edition. Thousand Oaks: SAGE Publications, Inc;
2016. 280 p. (Applied social research methods series). https://acortar.link/yEgRHI
11. Dunn T, Baguley T, Brunsden V. From
alpha to omega: a practical solution to the pervasive problem of internal
consistency estimation. Br J Psychol Lond Engl. 2014.;105(3):399-412.
https://acortar.link/cLhv8R
12. Zinbarg R, Revelle W, Yovel I, Li W.
Cronbach’s, α Revelle’s β and McDonald’s ω H: Their relations with each other
and two alternative conceptualizations of reliability. Psychometrika.
2005;70(1):123-33. https://acortar.link/XHkvkM
13. Manzanal
R, Heredia A, Barreiro L, Albero C. ¿Qué miden las escalas de actitudes?
Análisis de un ejemplo para conocer la actitud hacia los residuos urbanos:
Ecosistemas. 2003; 12(2). https://acortar.link/YQQgaq
14.
Domínguez D, Paredes M, Hernández H. Actitud hacia la gestión de residuos
sólidos domiciliarios en estudiantes de una universidad privada. Rev Inst Investig Fac Minas Met Cienc Geogr. 2021;24(47):63-73.
https://acortar.link/6nJLNT
15. Chavez
M, Valencia N. Aplicación de una guía de educación ambiental sobre residuos
sólidos para mejorar la actitud ambiental de los estudiantes del primer grado
de primaria de la Institución Educativa ”Pedro Labarthe” de La Victoria. Lima -
2012. Universidad César Vallejo; 2014. https://acortar.link/7IVzc0
16.
Unchupaico E. Actitud y comportamiento hacia la clasificación y reciclaje de
residuos sólidos en estudiantes de ingeniería de una universidad agrícola.
Zamorano: Escuela Agrícola Panamericana, 2017. https://acortar.link/Jsnijk
17.
Fernández R, Martínez R, Urquiza D, Gálvez S, Álvarez M. Validación de instrumentos
como garantía de la credibilidad en las investigaciones científicas. Rev Cuba
Med Mil. 2019; 48(2). 441-50. https://acortar.link/zcvHWw
18. Pizarro
R, Eymann A, Rubinstein F, Belziti C, Figari M, Blanco O, et al. Validación de
un instrumento para la evaluación de la interpretación de los resultados de
estudios de investigación en los residentes de un hospital universitario. Educ
Med. 2011; 14(3):171-9. https://acortar.link/zcvHWw
19. Velarde
M, Torres-Ramos I. Análisis psicométricos de ítems de una prueba diagnóstico
sobre estadística descriptiva utilizando el modelo de Rasch. Rev Digit
Matemática Educ e Internet. 2023; 23(2):1-16. https://acortar.link/f0xqX1