ALFA. Revista de Investigación en Ciencias Agronómicas y Veterinarias

Enero-abril 2023 / Volumen 7, Número 19

ISSN: 2664-0902 / ISSN-L: 2664-0902

https://revistaalfa.org

pp. 72 – 87

 

Los sectores económicos-sociales y la contaminación del aire en Perú, 1970-2020

 

The economic-social sectors and air pollution in Peru, 1970-2020

 

Os setores econômico-sociais e a poluição do ar no Peru, 1970-2020

 

 

Marcial Guevara Mamani1

mguevara@unap.edu.pe

https://orcid.org/0000-0003-3545-1306

 

Dominga Asunción Calcina Álvarez2

dcalcina@unamad.edu.pe

https://orcid.org/0000-0002-6869-0939

 

Paola Huarca Flores3

paolahuarcaflores@gmail.com

https://orcid.org/0000-0003-4718-5260

 

Omar Henry Marca Flores1

biomarca78@hotmail.com

https://orcid.org/0000-0003-2339-501X

 

Carmen Ramirez Benavides1

clascarmen@gmail.com

https://orcid.org/0000-0001-9429-3403

 

Rocio Ancco Torres1

rocioanccotorres@gmail.com

https://orcid.org/0009-0000-7893-272X

 

1Universidad Nacional del Altiplano. Puno, Perú

2Universidad Nacional Amazónica de Madre de Dios. Puerto Maldonado, Perú

3Universidad Católica de Santa María. Arequipa, Perú

 

Artículo recibido el 30 de noviembre 2022 / Arbitrado el 21 de diciembre 2022 / Publicado el 9 de enero 2023

 

Escanea en tu dispositivo móvil o revisa este artículo en:

https://doi.org/10.33996/revistaalfa.v7i19.199

 

RESUMEN

La contaminación del aire en estos tiempos está calificada como uno de los problemas ambientales más críticos y preocupantes a nivel mundial, debido a que rompe el equilibrio del aire, modificando la proporción de sus componentes o la introducción en la atmósfera de elementos tóxicos o indeseables que finalmente repercute en la calidad ambiental del entorno. El objetivo del estudio es determinar los sectores económicos y sociales que contribuyen hacia una mayor contaminación del aire en Perú, entre los periodos 1970-2020. Metodológicamente el enfoque fue cuantitativo, tipo analítico descriptivo y no experimental; se utilizaron los datos estadísticos de la base de datos del Instituto Nacional de Estadística e Informática, Banco Central de Reserva del Perú y de la página Datos-Macro, considerando el modelo econométrico de tipo log - log. Se determinó que los sector económicos y sociales que influyeron en la contaminación del aire son la densidad poblacional, el parque automotor, la producción de los sectores agropecuario, construcción y energía. Específicamente, el parque automotor, la producción de los sectores agropecuario, construcción y energía influyeron de manera directa en la contaminación del aire, mientras que la densidad poblacional influye de manera indirecta. Finalmente, ante un incremento en 1% en la producción de los sectores construcción, agropecuario y energía y del parque automotor, la contaminación del aire aumenta en 0.29%, 0.098%, 0.24%, 0.19% respectivamente; con respecto a la densidad poblacional, si incrementa en 1%, la contaminación del aire disminuye en 0.77%.

 

Palabras clave: Construcción; Sector agropecuario; Energía; Parque automotor; Contaminación del aire

 

ABSTRACT

Air pollution in these times is qualified as one of the most critical and worrying environmental problems worldwide, due to the fact that it breaks the air balance, modifying the proportion of its components or the introduction of toxic or undesirable elements into the atmosphere, which finally affects the environmental quality of the surroundings. The objective of the study is to determine the economic and social sectors that contribute to greater air pollution in Peru between 1970 and 2020. Methodologically, the approach was quantitative, analytical, descriptive and non-experimental; statistical data from the database of the National Institute of Statistics and Informatics, Central Reserve Bank of Peru and the page Datos-Macro were used, considering the econometric model of log - log type. It was determined that the economic and social sectors that influence air pollution are population density, vehicle fleet, production in the agricultural, construction and energy sectors. Specifically, the vehicle fleet, agricultural production, construction and energy sectors had a direct influence on air pollution, while population density had an indirect influence. Finally, with a 1% increase in the production of the construction, agricultural, and energy sectors and the vehicle fleet, air pollution increases by 0.29%, 0.098%, 0.24%, and 0.19%, respectively; with respect to population density, if it increases by 1%, air pollution decreases by 0.77%.

 

Key words: Construction; Agricultural sector; Energy; Vehicle fleet; Air pollution

 

RESUMO

A poluição do ar é hoje considerada um dos problemas ambientais mais críticos e preocupantes do mundo, devido ao fato de quebrar o equilíbrio do ar, modificando a proporção de seus componentes ou introduzindo elementos tóxicos ou indesejáveis na atmosfera, o que acaba afetando a qualidade ambiental do entorno. O objetivo do estudo é determinar os setores econômicos e sociais que contribuem para uma maior poluição do ar no Peru, entre 1970-2020. Metodologicamente, a abordagem foi quantitativa, analítica descritiva e não-experimental; foram utilizados dados estatísticos do banco de dados do Instituto Nacional de Estatística e Informática, do Banco Central de Reservas do Peru e do site Datos-Macro, utilizando um modelo econométrico log-log. Foi determinado que os setores econômicos e sociais que influenciam a poluição do ar são: densidade populacional, frota de veículos, produção nos setores agrícola, construção e energia. Especificamente, a frota de veículos, a produção nos setores agrícola, de construção e de energia tiveram uma influência direta sobre a poluição do ar, enquanto que a densidade populacional teve uma influência indireta. Finalmente, com um aumento de 1% na produção dos setores de construção, agricultura, energia e veículos, a poluição do ar aumenta 0,29%, 0,098%, 0,24%, 0,19% respectivamente; com relação à densidade populacional, se ela aumenta 1%, a poluição do ar diminui 0,77%.

 

Palavras-chave: Construção; Setor agrícola; Energia; Frota de veículos; Poluição do ar

 

INTRODUCCIÓN

 

La contaminación atmosférica o contaminación del aire se presenta hoy en día como uno de los problemas ambientales más preocupantes en todo el mundo. Esta se refiere a cualquier condición que rompa el equilibrio del aire, suponiendo la modificación de la proporción de sus componentes o la introducción en la atmósfera de elementos indeseables, es decir, materias, sustancias o formas de energía que tengan un efecto nocivo para la salud humana, que causen daños en el medio ambiente o que deterioren los bienes materiales (1–10).

 

Además, la contaminación del aire se evidencia por la presencia de agentes contaminantes tanto químicos, físicos o biológicos que alteran la atmósfera. Destacando el consumo energético doméstico, el crecimiento del parque automotor, la quema de residuos sólidos y crecimiento de la industria como principales fuentes de contaminación atmosférica (6,11–19).

 

A nivel mundial, los niveles de contaminación atmosférica se han incrementado por mayores emisiones de dióxido de carbono. Para el 2021, las emisiones de CO2 relacionadas con la energía se incrementaron en un 6% logrando alcanzar los 36 300 millones de toneladas, esto debido principalmente al uso del carbón como fuente de energía para impulsar el crecimiento de la economía mundial tras la crisis de COVID-19 (6,16,17,20–26).

 

Además, el consumo de energía es la principal fuente de emisión de CO2 como gas de efecto invernadero, siendo responsable de un 76% del total de emisiones globales. Este sector incluye a subsectores como el transporte, manufactura, construcción, generación de calor y electricidad y quema de combustibles. Le sigue el sector agricultura y ganadería con un 12%, el sector del cemento con 5,9%, los residuos y aguas residuales con un 3.3% y la deforestación con un 2.8% del total de emisiones (6,27–32).

 

En América Latina y el Caribe se registró 4 millones de toneladas emitidas anualmente de CO2, que representa el 8% de emisiones producidas a nivel mundial. Las principales causas que originan emisiones son la generación de energía y transporte, en palabras simples el uso de energías fósiles son las principales causas del incremento de CO2. Entre 1990–2016 incrementó en un 87% el uso de energía fósil a nivel mundial y en América Latina sólo incrementó un 5% esto debido a la disminución de la hidroenergía (5,23,31,33–39).

 

En Perú, la generación de dióxido de carbono (CO2) se debe al incremento del nivel de actividad económica y al crecimiento de la población. Ya que, en 1990, generaba 20,9 miles de toneladas métricas de CO2, no obstante, el nivel de emisiones aumentó a 56,3 mil toneladas métricas en el 2019. En el mismo año, el tamaño de la economía peruana creció 261% y el de su población en 46%, el crecimiento de las emisiones fue de 169%, por ello el crecimiento de las emisiones de esta más influenciada con la evolución del ingreso nacional que con el de la población (30,40–48).

 

El sector que genera la mayor cantidad de emisiones de CO2 es el sector transporte con aproximadamente 40% de las emisiones totales correspondientes a 24,222 giga gramos a causa del deficiente parque automotor que posee, seguido por los sectores como la industria, residencial y comercial e industrias de la transformación y conversión con el 13% de cada uno. Además, es importante considerar que las emisiones por parte de la industria manufacturera y de la construcción provienen de actividades que tienen como práctica común utilizar carbón mineral como combustible, tal es el caso de las fábricas de ladrillo en la que la mayoría son informales, ya que en el año 2000 se produjeron aproximadamente 365,764,100 toneladas de cemento, en su mayoría cemento tipo Pórtland. Las emisiones debido al cemento ascienden a 1780 giga gramos de CO2 (21,28,32,39,49–55).

 

El principal problema relacionado con la contaminación del aire es que ésta resulta ser una de las más dañinas para la salud, existe evidencia que la contaminación del aire provoca complicaciones asmáticas, enfermedades bronquiales e incluso la muerte prematura. Dentro de todos los contaminantes del aire, las partículas en suspensión resultan ser las más peligrosas. Cabe resaltar que los problemas de contaminación del aire se agravan principalmente en las ciudades con alta densidad poblacional (28,32,50,52,53,55–59).

 

Por lo cual, la investigación busca responder la siguiente interrogante: ¿Cuáles son los factores que influyen en la contaminación del aire, durante el periodo 1970-2020? En ese sentido el objetivo de la investigación es determinar los factores que influyen en la contaminación del aire, durante el periodo 1970-2020. La hipótesis a comprobar fue: los factores que influyen en la contaminación del aire, durante el periodo 1970-2020, son el crecimiento demográfico, el parque automotor y la producción de los sectores agropecuarios, minería, construcción y energía.

 

MATERIALES Y MÉTODOS

 

El estudio se realizó en todo Perú en la zona urbana y rural, considerando las 24 regionales existentes y la Provincia Constitucional del Callao, las misma que está ubicada en el medio de América del Sur, frente al océano Pacífico, entre las coordenadas de 0º2’ y los 18º 21’34” de latitud sur y 68º 39’7” y los 81º 20’13” de longitud.

 

Se realizó un estudio documental, observacional con datos estadísticos sistematizados y/o gestionados del Instituto Nacional de Estadística e Informática (INEI), del Banco Central de Reserva del Perú (BCRP), así como la página Datos-Macro, entre los periodos 1970-2020, donde las variables de análisis fueron la contaminación del aire, el crecimiento demográfico, la producción del sector construcción, la producción del sector agropecuario, la producción del sector minería, la producción del sector energía y el desarrollo del parque automotor, cuyos detalles de sus características, indicador, unidad de medida se detallan a continuación (Tabla 1).

 

Tabla 1. Operacionalización de variables de la investigación.

Variable

Indicador

Unidad de medida

Fuente de información

Variable dependiente

Contaminación del aire

Emisión de CO2

Megatoneladas

Datos macro

Variables independientes

 

Crecimiento demográfico

Densidad poblacional

Número de habitantes por km2

Datos macro

Producción del sector Construcción

PBI del sector Construcción

Millones de soles

Banco Central de Reserva del Perú

Producción del sector agropecuario

PBI del sector agropecuario

Millones de soles

Producción del sector minería

PBI del sector extracción del petróleo y minerales

Millones de soles

Producción del sector energía

PBI del sector electricidad

Millones de soles

Parque automotor

Número de vehículos

Unidad

Instituto Nacional de Estadística e Informática

 

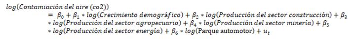
El estudio se desarrolló bajo el enfoque cuantitativo, de tipo analítico descriptivo y no experimental (60). Se utilizó el modelo econométrico basado en la función de regresión de tipo Log-Log, donde se especificó como los sectores económicos y sociales influyeron en la contaminación del aire, durante el periodo 1970-2020, cuya ecuación econométrica es la siguiente:

 

 

Para alcanzar el objetivo de la investigación se estimó los parámetros del modelo econométrico antes detallado, utilizando el software Eviews versión 10.0.

 

RESULTADOS

 

Al analizar el comportamiento de las variables en análisis, se evidencia una tendencia creciente de la contaminación del aire (Figura 1), debido a su mayor actividad económica, desde 1970 al 1990 Perú generó 20.9 MT de contaminación de aire, en el 2000 al 2019 se incrementó de manera apresurada las emisiones de 28 a 57.5 MT, para el 2019 a 2020 se redujeron de 57.5 a 46.5 MT debido al COVID-19, emitiendo un promedio de contaminación del aire de 30 MT, un máximo de 55.6 MT y un mínimo de 17.4 MT por año (Tabla 2).

 

La evolución de la producción del sector construcción fue creciente durante el periodo de análisis (Figura 1), ya que desde el año 1970 al 2020 tuvo un crecimiento de 30 millones de soles, sin embargo, la más profunda caída luego de un crecimiento sostenido de este sector fue en el 2001, en las que el PBI del sector construcción alcanzó a caer hasta un 3.9 millones de soles debido a que se suspendieron muchas obras de construcción a causa de las restricciones del estado peruano por contener el COVID-19. La producción del sector construcción alcanzó a crecer en promedio 12.9 millones y un mínimo de 3.9 millones de soles (Tabla 2).

 

La trayectoria de la variable producción del sector agropecuario en Perú tuvo un fuerte crecimiento desde el año 1970 al 2020 (Figura 1), en vista que alcanzó un crecimiento de 31.5 millones de soles, con un crecimiento promedio por año de 14.8 millones de soles, además de que durante el año 2020 continuó creciendo, llegando a alcanzar el punto más alto durante el periodo de análisis con 32.4 millones de soles, ya que a pesar del confinamiento las necesidades de consumo de alimentos se siguen manteniendo ya que es una necesidad básica del ser humano (Tabla 2).

 

Figura 1. Comportamiento de las variables en análisis.

 

La producción del sector minería desde el año 1970 al 2020 ha experimentado un crecimiento de los 67 millones de soles (Figura 1), al igual que otros sectores de la economía este también se vio afectado por la pandemia, en el 2020 se redujo a 57304 millones de soles, con un crecimiento promedio por año de 40 millones, alcanzando un máximo en el año 2017 con 67439 millones de soles y un mínimo de 13.9 millones de soles (Tabla 2).

 

En el caso de la producción del sector energía, presentó una tendencia relativamente creciente, con un incremento en promedio de 3.9 millones de soles desde el año 1970 al 2020 (Figura 1), alcanzando un máximo y mínimo de 10011 y 636 millones de soles. Luego la tendencia fue creciente y acelerada con leves disminuciones de crecimiento durante los años 1992, 2009 y 2017. Finalmente, para el año 2020 se puede observar una caída abrupta de este sector, alcanzando únicamente un PBI de 9396 millones de soles, 614 millones de soles menos que el año anterior, esto por las limitaciones que se presentaron durante la pandemia del COVID-19 (Tabla 2).

 

Sobre el crecimiento demográfico representado por la densidad poblacional en habitantes por km2 en el periodo de análisis, esta tuvo un comportamiento de crecimiento progresivo en todos los años (Figura 1), la misma que tuvo en promedio el valor poblacional por km2 de 18 personas, con un valor máximo de 25 y un valor mínimo de 10 habitantes por km2 (Tabla 2).

 

En el caso parque automotor expresado en número de vehículos, presentó un crecimiento creciente y acelerado (Figura 1), pasando a tener un total de 267 '178 vehículos motorizados en el año 1970 ha un total 3' 070 '704 en el 2020, de esta manera tuvo como un máximo de número de vehículos de 267178 y un mínimo de 13897 (Tabla 2).

 

Tabla 2. Resultados de las estadísticas descriptivas de las variables socioeconómicas y ambientales.

Variable

Promedio

Desviación estándar

Valor mínimo

Valor máximo

Contaminación del aire

30414.9

12479.2

17399

55659

Producción del sector construcción

12964.42

9411.894

3989

32210.01

Producción del sector agropecuario

14845.53

7366.367

7784

31485.13

Producción del sector minería

33943.06

15783.03

13897

67439

Producción del sector energía

3853.215

2786.401

636

10011.51

Parque automotor

1165722

822759.8

267178

3070704

Crecimiento demográfico

18.21569

4.428606

10

25

 

Complementariamente, al realizar el análisis de la relación de la contaminación del aire y los sectores económicos y sociales determinantes, se muestra que la relación entre la contaminación del aire con la producción del sector construcción, se puede observar la existencia de una relación directa (Figura 2), la misma que se complementa por la matriz de correlación de estas variables, donde se evidencia una correlación positiva alta (valor ρ de Pearson = 0.991), por lo que un incremento de la producción del sector construcción contribuye al incremento de la contaminación del aire (Tabla 3).

 

En el caso de la relación entre la contaminación del aire con la producción del sector agropecuario, se puede observar la existencia de una relación directa (Figura 2), la cual se complementa por la matriz de correlación de estas variables, donde se evidencia una correlación positiva alta (valor ρ de Pearson = 0.974), de esta manera un incremento de la producción del sector agropecuario contribuye al incremento de la contaminación del aire (Tabla 3).

 

Respecto a la relación entre la contaminación del aire con la producción del sector minería, se puede observar la existencia de una relación directa (Figura 2), la misma que se complementa por la matriz de correlación de estas variables, donde se evidencia una correlación positiva alta (valor ρ de Pearson = 0.953), de esta manera un incremento de la producción del sector minería contribuye al incremento la contaminación del aire (Tabla 3).

 

Al analizar la relación entre la contaminación del aire con la producción del sector energía, se puede observar la existencia de una relación directa (Figura 2), la misma que se complementa por la matriz de correlación de estas variables, donde se evidencia una correlación positiva alta (valor ρ de Pearson = 0.981), de esta manera un incremento de la producción del sector energía contribuye al incremento la contaminación del aire. En el caso de la relación entre la contaminación del aire con el parque automotor, se puede observar la existencia de una relación directa, la cual se complementa por la matriz de correlación de estas variables, donde se evidencia una correlación positiva alta (valor ρ de Pearson = 0.974), de esta manera ante un incremento del parque automotor, la contaminación del aire aumentará (Tabla 3).

 

Finalmente, al analizar la relación entre la contaminación del aire con el crecimiento demográfico, se puede observar la existencia de una relación directa (Figura 2), la misma que se complementa por la matriz de correlación de estas variables, donde se evidencia una correlación positiva alta (valor ρ de Pearson = 0.849), del cual, a un incremento del crecimiento demográfico contribuye al incremento de la contaminación del aire (Tabla 3).

 

Figura 2. Relación de la contaminación del aire con sus determinantes.

 

Tabla 3. Matriz de correlación de variables.

Variable

Contaminación del aire

Producción del sector construcción

Producción del sector agropecuario

Producción del sector minería

Producción del sector energía

Parque automotor

Crecimiento demográfico

Contaminación del aire

1

0.9912

0.9744

0.953

0.9807

0.9744

0.8497

Producción del sector construcción

0.9912

1

0.9671

0.9281

0.9701

0.9647

0.824

Producción del sector agropecuario

0.9744

0.9671

1

0.9515

0.9941

0.9942

0.8948

Producción del sector minería

0.953

0.9281

0.9515

1

0.9627

0.9571

0.8506

Producción del sector energía

0.9807

0.9701

0.9941

0.9627

1

0.9968

0.9077

Parque automotor

0.9744

0.9647

0.9942

0.9571

0.9968

1

0.8987

Crecimiento demográfico

0.8497

0.824

0.8948

0.8506

0.9077

0.8987

1

 

 

Finalmente, al realizar el análisis de los factores que influyen en la contaminación del aire, para encontrar los factores que influyen en la contaminación del aire en Perú durante el periodo 1970-2020, se buscó contrastar la hipótesis de la investigación que fue la siguiente:

 

Ha: los factores que influyen en la contaminación del aire en Perú durante el periodo 1970-2020, son el crecimiento demográfico, el parque automotor y la producción de los sectores agropecuarios, minería, construcción y energía. Por lo cual se aplicó la regresión econométrica del modelo log-log, ya que posee mejores propiedades estadísticas y cuyos resultados obtenidos son las siguientes:

 

Tabla 4. Estimación de modelo log-log.

Variable

Coeficiente

Error estándar

T-Estadístico

Probabilidad

Logaritmo de crecimiento demográfico

-0.770397

0.1060074

-7.27

0.000

Logaritmo de la producción del sector construcción

0.2934983

0.0362096

8.11

0.000

Logaritmo de la producción del sector agropecuario

0.0981143

0.0651671

1.51

0.139

Logaritmo de la producción del sector energía

0.243672

0.0744876

3.27

0.002

Logaritmo de parque automotor

0.1879941

0.0821548

2.29

0.027

Constante

4.292048

0.4230095

10.15

0.000

Número de observaciones

51

R-cuadrado

0.9923

 F(5, 45)

1156.29

R-cuadrado ajustado

0.9914

Prob > F

0.000

Root MSE

0.03454

 

Al realizar el análisis estadístico para la prueba de hipótesis, se evidencia que el R-cuadrado ajustado es igual a 0.9914, lo que muestra que la variable crecimiento demográfico medido mediante la densidad poblacional, el parque automotor, la producción de los sectores agropecuario, construcción y energía explican en 99.14%, resultando ser un modelo eficiente (Tabla 4).

 

En el caso de la prueba de significancia individual, se puede ver que el t-estadístico obtenido de la variable crecimiento demográfico representado por la densidad poblacional [-7.27], producción del sector construcción [8.11], producción del sector energía [3.27], parque automotor [2.29] son mayores a 2; concluyendo que, si tienen significancia individual, es decir si influyen de manera individual en la contaminación del aire. Por lo contrario, la producción del sector agropecuario tiene un t-estadístico de 1.51 y es menor a 2, lo que muestra que tiene una probabilidad de 0.139 y es mayor a 0.05, determinando que esta variable no influye en la contaminación del aire en Perú al 95% del nivel de confianza, pero si al 0.15 de nivel de significancia. No obstante, la variable producción del sector minería tenía un t-estadístico de 1.11 que es menor a 2, lo que muestra que tiene una probabilidad de 0.271 y es mayor a 0.05, es decir no es significativa ni al 25% del nivel de confianza, además causa que la variable del parque automotor no sea significativa al 95% del nivel de confianza, por ello se retiró esta variable del modelo econométrico (Tabla 4).

 

Por lo tanto, se concluye rechazando la hipótesis nula y aceptando la hipótesis alternativa, estableciendo que en Perú durante el período de 1970 al 2020, los factores que influyeron en la contaminación del aire son el crecimiento demográfico, la producción de los sectores construcción, agropecuario, energía y el parque automotor.

 

Por lo cual, identificando los coeficientes de las variables independientes, se puede ver claramente que las variables como la producción de los sectores construcción, agropecuario, energía y el parque automotor tienen signo positivo, es decir, influyen de manera directa sobre la contaminación del aire. Además, el coeficiente de la densidad poblacional tiene signo negativo, por lo que se determina que influyen de manera negativa en la contaminación del aire en Perú (Tabla 4).

 

En este entender, analizando los coeficientes se puede establecer que ante un incremento de la crecimiento demográfico representado por la densidad poblacional, si este incrementa en 1%, el valor de la contaminación del aire disminuirá en 0.77%; si incrementa la producción del sector construcción en 1%, el valor de la contaminación del aire incrementará en 0.29%; si aumenta la producción del sector agropecuario en 1%, el valor de la contaminación del aire aumentará en 0.098%; ante el incremento del 1% en la producción del sector energía, el valor de la contaminación del aire aumentará en 0.24%; si aumenta el parque automotor en 1%, el valor de la contaminación del aire incrementará en 0.19% (Tabla 4).

 

DISCUSIÓN

 

De esta manera, los resultados encontrados en esta investigación son coherentes con investigaciones previas como las de Zegarra et al., (26), quienes al investigar la contaminación del aire por emisión de gases de efecto invernadero generados por el parque automotor en Lima Metropolitana, llegaron a identificar que el consumo de combustibles fósiles líquidos es la principal causa de contaminación atmosférica. Justamente, los resultados de la regresión realizada indican que existe una relación de causalidad significativa entre el parque automotor y las emisiones de CO2, así como una correlación positiva y alta entre ambas variables.

 

Los resultados obtenidos también guardan relación con la investigación de Ziegler-Rodriguez et al., (61) quienes identificaron el impacto de la producción de cemento en Perú, como parte principal del sector construcción, en los niveles de emisión de gases de efecto invernadero como el CO2. Encontrando que las emisiones totales de GEI pueden aumentar hasta en un 12 % por unidad de masa de cemento producido. Para la presente investigación, el sector construcción tiene un impacto directo y significativo en las emisiones de CO2 que contaminan el aire, siendo que para un incremento de 1% en el PBI del sector construcción, las emisiones de CO2 se elevan en 0.29%.

 

En la investigación de Elías et al., (62) se considera que para los próximos 20 a 30 años, la tendencia de uso de vehículos hará que incremente el uso de combustible en un 55% aumentando las emisiones de CO2. En los resultados obtenidos de la presente investigación, se observa una tendencia creciente del parque automotor, por lo que por cada 1% de incremento en el número de vehículos en el país al año, las emisiones de CO2 se elevan en 0.18%.

 

En el estudio que realizó Al-Asel (10) se identificó que el consumo energético basado en fuentes tradicionales como los combustibles fósiles genera emisiones de contaminantes atmosféricos. Respecto a ello, la presente investigación demuestra empíricamente la relación positiva y significativa entre el PBI del sector electricidad y las emisiones de CO2, demostrando que frente a un incremento en 1% del PBI de este sector, las emisiones anuales de CO2 se elevan en 0.24%.

 

Finalmente, los resultados estimados tienen relación con lo que plantea Ren y Matsumoto (18) quienes, en su investigación, bajo un modelo de retardo espacial de efectos fijos mostraron que tanto los factores socioeconómicos como los naturales eran estadísticamente significativos para las emisiones de contaminantes atmosféricos, aunque el grado difería según el tipo de contaminante. La población, la tasa de urbanización, el valor de la industria secundaria y los grados día de calefacción y refrigeración afectaron positivamente las emisiones, mientras que la densidad de la población, el producto regional bruto per cápita, la precipitación y la humedad relativa afectaron negativamente las emisiones. Justamente, esta investigación guarda relación con la presente investigación, puesto que se evidenció que la densidad de la población tiene un efecto negativo en las emisiones de CO2, sin embargo, las demás variables tomadas no se usaron en nuestra investigación por lo que su impacto no es conocido.

 

CONCLUSIONES

 

Se concluye que los factores que influyen en la contaminación del aire en Perú durante el periodo 1970-2020, son la densidad poblacional, el parque automotor, la producción de los sectores agropecuario, construcción y energía que explican en 99.14% a la contaminación del aire. Además, el parque automotor, la producción de los sectores agropecuario, construcción y energía influyen de manera directa en la contaminación del aire, mientras que la densidad poblacional influye de manera indirecta.

 

Por lo tanto ante un incremento en la producción del sector construcción en 1%, el valor de la contaminación del aire incrementará en 0.29%; con respecto a la producción del sector agropecuario si este aumenta en 1%, el valor de la contaminación del aire aumentará en 0.098%; en el caso de la producción del sector energía si incrementa en 1%, el valor de la contaminación del aire aumentará en 0.24%; mientras que en el caso del parque automotor si aumenta en 1%, el valor de la contaminación del aire incrementará en 0.19%; por último con respecto a la densidad poblacional si este incrementa en 1%, el valor de la contaminación del aire disminuirá en 0.77%.

 

REFERENCIAS BIBLIOGRÁFICAS

 

1. Conticini E, Frediani B, Caro D. Can atmospheric pollution be considered a co-factor in extremely high level of SARS-CoV-2 lethality in Northern Italy? Environ Pollut. 2020 Jun 1;261.

2. Coi A, Minichilli F, Bustaffa E, Carone S, Santoro M, Bianchi F, et al. Risk perception and access to environmental information in four areas in Italy affected by natural or anthropogenic pollution. Environ Int [Internet]. 2016 Oct 1 [cited 2021 Mar 16];95:8–15. Available from: http://ambiente-salute.it/wp-content/uploads/Coi-et-al-Risk-perception-in-SEpiAs-areas.pdf

3. Chakraborty S, Tiedemann A V., Teng PS. Climate change: Potential impact on plant diseases. Environ Pollut [Internet]. 2000 [cited 2021 Sep 10];108(3):317–26. Available from: https://pubmed.ncbi.nlm.nih.gov/15092926/

4. Candi Ashanti D-M, Humberto B-Á, Rodolfo S-E. Prevención, minimización y control de la contaminación ambiental en un ingenio azucarero de México. Ing Investig y Tecnol [Internet]. 2014 Oct 1 [cited 2021 Mar 3];15(4):549–60. Available from: https://www.scielo.org.mx/pdf/iit/v15n4/v15n4a6.pdf

5. Rojas FJ, Pacsi S, Sánchez-Ccoyllo OR, Perales MM. Forecast of Reduction of Emissions, Patients, Associated Expenses using Emission Factors and considering Natural Gas within the Energy Matrix in Peru. Inf Tecnol [Internet]. 2019;30(3):117–26. Available from: https://www.scielo.cl/pdf/infotec/v30n3/0718-0764-infotec-30-03-00117.pdf

6. Venter ZS, Aunan K, Chowdhury S, Lelieveld J. COVID-19 lockdowns cause global air pollution declines. Proc Natl Acad Sci U S A [Internet]. 2020;117(32):18984–90. Available from: https://www.medrxiv.org/content/10.1101/2020.04.10.20060673v1

7. Saavedra Vargas JD. Análisis de nuevos escenarios de emisión de contaminantes del parque automotor generados en un ambiente de tráfico vehicular [Internet]. Universidad Nacional Agraria La Molina. Universidad Nacional Agraria La Molina; 2014 [cited 2021 Feb 15]. Available from: http://repositorio.lamolina.edu.pe/handle/UNALM/1872

8. Xu F, Yang ZF, Zhao YW, Chen B. Effects of water recharge on ecosystem health in Baiyangdian Lake, China. Procedia Environ Sci [Internet]. 2010 [cited 2023 Feb 11]; 2:349–58. Available from: https://www.sciencedirect.com/science/article/pii/S1878029610000733

9. Vázquez-Rowe I, Ziegler-Rodriguez K, Laso J, Quispe I, Aldaco R, Kahhat R. Production of cement in Peru: Understanding carbon-related environmental impacts and their policy implications. Resour Conserv Recycl [Internet]. 2019 Mar 1 [cited 2023 Feb 11]; 142:283–92. Available from: https://agris.fao.org/agris-search/search.do?recordID=US201900152261

10. Al-Asel (Ace) M. The Effects of Energy Consumption and Carbon Emissions on Turkey’s Initiatives in Promoting Sustainable Environmental and Economic Development. Sustain Futur [Internet]. 2022;4(June):100089. Available from: https://doi.org/10.1016/j.sftr.2022.100089

11. Rosenson AS, Mintz A, Ali A, Fordham EW. Unsuspected finding on a gastric emptying study. Clin Nucl Med [Internet]. 1991;16(10):780–1. Available from: https://www.redalyc.org/articulo.oa?id=223214848008

12. Cazau Pablo. Introducción a la investigación en Ciencias Sociales [Internet]. Buenos Aires; 2006. Available from: http://www.academia.edu/download/37844523/cazau_-_metodologia.pdf

13. Ni K, Carter E, Schauer JJ, Ezzati M, Zhang Y, Niu H, et al. Seasonal variation in outdoor, indoor, and personal air pollution exposures of women using wood stoves in the Tibetan Plateau: Baseline assessment for an energy intervention study. Environ Int [Internet]. 2016 Sep 1 [cited 2023 Feb 11]; 94:449–57. Available from: https://www.cabdirect.org/cabdirect/abstract/20163307999

14. Jiang Y, Luo H, Yang F. Influences of migrant construction workers’ environmental risk perception on their physical and mental health: Evidence from china. Int J Environ Res Public Health [Internet]. 2020 Oct 2 [cited 2021 Mar 16];17(20):1–17. Available from: https://www.mdpi.com/1660-4601/17/20/7424

15. Bambarén C. Impacto ambiental de un hospital público en la ciudad de Lima, Perú [Internet]. Repositorio Institucional Pirhua. Universidad de Piura; 2014. Available from: http://www.scielo.org.pe/pdf/rins/v31n4/a15v31n4.pdf

16. Serra-Majem L. Nutrición comunitaria y sostenibilidad: concepto y evidencias. Rev Española Nutr Comunitaria [Internet]. 2010 Jan 1 [cited 2022 Jan 26];16(1):35–40. Available from: https://www.renc.es/imagenes/auxiliar/files/RENC_2010_1-9_Serra-Majem.pdf

17. CCarta F, De Philippis M. The Impact of the COVID-19 Shock on Labour Income Inequality: Evidence from Italy. SSRN Electron J [Internet]. 2021 Feb 12 [cited 2021 Dec 3]; Available from: https://papers.ssrn.com/abstract=3828129

18. Ren L, Matsumoto K. Effects of socioeconomic and natural factors on air pollution in China: A spatial panel data analysis. Sci Total Environ [Internet]. 2020 Oct 20 [cited 2023 Feb 11]; 740:140155. Available from: https://pubmed.ncbi.nlm.nih.gov/32569914/

19. Carrillo J, Lu C-Y, Méndez B, Robles M. La Pandemia del Coronavirus (COVID-19) y su impacto geopolítico, económico y de salud a nivel mundial. Alianza Investig científica [Internet]. 2020;21. Available from: http://aliincis.com/wp-content/uploads/2020/04/La-Pandemia-del-Coronavirus-y-su-impacto-político-en-salud.-EDITADO.pdf

20. Suárez L, Castillo L, Marín M, Carrillo G, Rímac L, Pomalaya J, et al. Estudio de la variación estacional de ozono troposférico y aerosoles del Perú relacionado a las quemas de vegetación en la Amazonía. Mosaico Científico [Internet]. 2006 [cited 2021 Feb 15];3(3):36–41. Available from: https://www.researchgate.net/profile/Luis_Suarez-Salas/publication/275033085_Estudio_de_la_variacion_estacional_de_ozono_troposferico_y_aerosoles_del_Peru_relacionado_a_las_quemas_de_vegetacion_en_la_Amazonia/links/5609974208ae1396914a24a2/Estudio-de-la-v

21. Boon RG j., Alexaki A, Becerra EH. The Ilo Clean Air Project: A Local Response to Industrial Pollution Control in Peru. Environ Urban [Internet]. 2001;13(2):215–32. Available from: https://journals.sagepub.com/doi/pdf/10.1177/095624780101300217

22. Herrera Santos CM. El sector empresarial y la contaminación urbana en Colombia. Rev Ing [Internet]. 2009;(30):151–60. Available from: http://www.scielo.org.co/pdf/ring/n30/n30a17.pdf

23. Rodríguez-Guerra A, Cuvi N. Contaminación del Aire y Justicia Ambiental en Quito, Ecuador. Fronteiras [Internet]. 2019;8(3):13–46. Available from: https://pdfs.semanticscholar.org/0bc6/cf2c1ca14d3a1cd09771fe96667554843226.pdf

24. Valencia A, Suárez Castaño, Rodrigo; Sánchez A, Cardozo E, Bonilla M, Buitrago C. Gestión de la contaminación ambiental: cuestión de corresponsabilidad Management of Environmental Pollution: a matter of co-responsibility. 2016;90–9. Available from: http://www.scielo.org.co/pdf/ring/n30/n30a12.pdf

25. Pereira Moreira R. Transporte y medio ambiente. Políticas para reducir la contaminación del aire. 2002;(April). Available from: http://www.ingenieroambiental.com/4014/reducir.pdf

26. Zegarra Tello IJ, Cabrera Carranza CF, Moore Torres R. Tendencias y escenarios de la contaminación del aire por origen automotriz en Lima Metropolitana. Rev del Inst Investig la Fac minas, Metal y ciencias geográficas [Internet]. 2021;24(47):211–9. Available from: https://revistasinvestigacion.unmsm.edu.pe/index.php/iigeo/article/view/20640

27. Sánchez J, Urrego J, Zakzuk J, Bornacelly A, Castro I, Caraballo L. Niveles de Contaminantes en el aire de Cartagena, Colombia. Rev la Univ Ind Santander [Internet]. 2013;45(3):35–44. Available from: http://www.scielo.org.co/pdf/suis/v45n3/v45n3a04.pdf

28. Testino MG, Cáceres RB. Recursos naturales, medio ambiente y desarrollo: Perú 1970-2010 [Internet]. Vol. 21. 2020. 1–9 p. Available from: http://journal.um-surabaya.ac.id/index.php/JKM/article/view/2203

29. Russi D, Martinez-Alier J. Los pasivos ambientales. 2002;(15):123–31. Available from: https://www.redalyc.org/pdf/509/50901513.pdf

30. Vázquez Maguirre M, Portales L, Velásquez Bellido I. Indigenous Social Enterprises as Drivers of Sustainable Development: Insights from Mexico and Peru. https://doi.org/101177/0896920516688757 [Internet]. 2017 Feb 7 [cited 2023 Feb 11];44(2):323–40. Available from: https://journals.sagepub.com/doi/abs/10.1177/0896920516688757?journalCode=crsb

31. Parks-Yancy R, DiTomaso N, Post C. How does tie strength affect access to social capital resources for the careers of working and middle class African-Americans? Crit Sociol [Internet]. 2009 Jul [cited 2023 Feb 11];35(4):541–63. Available from: https://journals.sagepub.com/doi/abs/10.1177/0896920509103983?journalCode=crsb

32. Velayarce D, Bustos Q, García MP, Timaná C, Carbajal R, Salvatierra N, et al. Air Quality Analysis in Lima, Peru Using the NO2 Levels during the COVID-19 Pandemic Lockdown. Atmosphere (Basel) [Internet]. 2022;13(3):1–16. Available from: https://www.mdpi.com/2073-4433/13/3/373

33. Pérez Calderón J. La política ambiental en México: gestión e instrumentos económicos. El Cotid [Internet]. 2010;(162):91–7. Available from: http://www.redalyc.org/articulo.oa?id=32513882011%5CnCmo

34. Sanhueza JE, Antonissen M. REDD+ en América Latina. Estado actual de las estrategias de reducción de emisiones por deforestación y degradación forestal [Internet]. 2014. Available from: https://repositorio.cepal.org/bitstream/handle/11362/36810/S2014280_es.pdf?sequence=1&isAllowed=y

35. Vinocur P, Halperin L. Pobreza y políticas sociales [Internet]. 2004 [cited 2020 Dec 14]. Available from: https://repositorio.cepal.org/handle/11362/6074

36. Cepal. Panorama social de America Latina 2021 [Internet]. Mdias sociais no Brasil emergente. Santiago, Chile; 2022. Available from: http://www.jstor.org/stable/10.2307/j.ctv550d07.6

37. CEPAL N. Pactos políticos y sociales para la igualdad y el desarrollo sostenible en América Latina y el Caribe en la recuperación pos-COVID-19 [Internet]. 2020 [cited 2020 Dec 5]. Available from: https://www.rug.nl/ggdc/historicaldevelopment/maddison/releases/maddison-project-database-2018

38. Filgueira F, Galindo LM, Giambruno C, Blofield M. América Latina ante la crisis del COVID-19: vulnerabilidad socioeconómica y respuesta social. 2020 Dec 10 [cited 2021 Dec 7]; Available from: https://repositorio.cepal.org/handle/11362/46484

39. Tolmos RA. Desafíos y propuestas para la implementación más efectiva de instrumentos económicos en la gestión ambiental de América Latina y el Caribe: el caso de Perú División de Desarrollo Sostenible y Asentamientos Humanos [Internet]. 2004. Available from: http://repositorio.cepal.org/bitstream/handle/11362/5783/S04266_es.pdf;jsessionid=83909D886D03CD4B4BA9C640DF35B988?sequence=1

40. Chirinos R. ¿Cuánto contamina el Perú y qué se hace al respecto? Moneda [Internet]. 2021;60–4. Available from: https://www.bcrp.gob.pe/docs/Publicaciones/Revista-Moneda/moneda-188/moneda-188-12.pdf

41. Lust J. Social Struggle and the Political Economy of Natural Resource Extraction in Peru. Crit Sociol [Internet]. 2016 Mar 1 [cited 2023 Feb 11];42(2):195–210. Available from: https://journals.sagepub.com/doi/abs/10.1177/0896920513501354?journalCode=crsb

42. Orta-Martínez M, Napolitano DA, MacLennan GJ, O’Callaghan C, Ciborowski S, Fabregas X. Impacts of petroleum activities for the Achuar people of the Peruvian Amazon: Summary of existing evidence and research gaps. Environ Res Lett [Internet]. 2007;2(4). Available from: https://researchonline.lshtm.ac.uk/id/eprint/6664/

43. Alva LGP. El Perú Frente al Cambio Climático y los Tributos Verdes [Internet]. Vol. [1] L. G. 2019. Available from: https://www.proquest.com/openview/37b26b8715d4fda38df18dd7d66ab92b/1?pq-origsite=gscholar&cbl=18750&diss=y

44. Bertha Magdalena GG, María del Socorro GG, Néstor Raúl SV, Teodora Margarita GG. Environmental impact and its link to social, biological and physical factors in Peru. Rev Ciencias Soc [Internet]. 2021;27(ESPECIAL 3):281–92. Available from: https://produccioncientificaluz.org/index.php/rcs/index

45. Chung B. Control of Chemical Pollutants IN Peru Simposio: SALUD Ambiental. Rev Peru Med Exp Salud Publica [Internet]. 2008;25(4):413–413. Available from: http://www.scielo.org.pe/pdf/rins/v25n4/a12v25n4.pdf

46. Krois J, Schulte A. GIS-based multi-criteria evaluation to identify potential sites for soil and water conservation techniques in the Ronquillo watershed, northern Peru. Appl Geogr [Internet]. 2014 [cited 2023 Feb 11]; 51:131–42. Available from: https://www.sciencedirect.com/science/article/abs/pii/S0143622814000769

47. Bebbington AJ, Bury JT. Institutional challenges for mining and sustainability in Peru. Proc Natl Acad Sci U S A [Internet]. 2009;106(41):17296–301. Available from: https://www.pnas.org/doi/epdf/10.1073/pnas.0906057106

48. Bernales Muñoz M del C. Development of an air pollutant emission control system for the Fishmeal Industry in Peru. 2020;(September). Available from: http://diposit.ub.edu/dspace/bitstream/2445/179081/1/2019-20_Bernales Milagros_written Final MFP.pdf

49. Glave MA, Kuramoto J. Minería, Minerales y Desarrollo Sustentable en Perú. In 2002. p. 529–91. Available from: http://www.grade.org.pe/upload/publicaciones/archivo/download/pubs/JK-MG-Miner°a, Minerales y Desarrollo Sustentable en Per£.pdf

50. Díaz DB, Follegatti JLL, Hordijk M. Innovative urban environmental management in Ilo, Peru. Environ Urban [Internet]. 1996;8(1):21–34. Available from: https://journals.sagepub.com/doi/pdf/10.1177/095624789600800102

51. Mougenot B, Durand Santa María RP, Koc Olcese CL. Testing the Environmental Kuznets Curve Hypothesis: An Empirical Study for Peru. Int J Energy Econ Policy [Internet]. 2022;12(1):193–9. Available from: http://www.zbw.eu/econis-archiv/bitstream/11159/8502/1/179763030X_0.pdf

52. Castro M, Sánchez-Triana E, Loayza F, Albarracin-Jordan J, Lima AL. Environmental impact assessment reform in Peru. IAIA14 Conf Proc [Internet]. 2014;(April 2014):6. Available from: https://www.researchgate.net/profile/Ernesto-Sanchez-Triana/publication/304082487_Environmental_impact_assessment_reform_in_Peru/links/5765bff908aeb4b998071002/Environmental-impact-assessment-reform-in-Peru.pdf

53. Cordova CH, Portocarrero MNL, Salas R, Torres R, Rodríguez PC, López-Gonzales JL. Air quality assessment and pollution forecasting using artificial neural network in Metropolitan Lima-Peru. Sci Rep [Internet]. 2021;11(1):1–19. Available from: https://doi.org/10.1038/s41598-021-03650-9

54. Velásquez Chacón E, Molina Pinto EJ. Natural energy resources and their impact on environmental pollution in the transport sector in Perú. Illustro [Internet]. 2021;12(1):103–19. Available from: https://revistas.ucsp.edu.pe/index.php/illustro/article/view/1383

55. Bustíos C, Martina M, Arroyo R. Deterioro de la calidad ambiental y la salud en el Perú actual. Rev Peru Epidemiol [Internet]. 2013;17(1):10. Available from: https://www.redalyc.org/pdf/2031/203128542001.pdf

56. Tinoco O. Los Impactos del Turismo en el Perú. Ind Data [Internet]. 2003;6(1):47–60. Available from: https://www.redalyc.org/pdf/816/81606106.pdf

57. Eda LEH, Chen W. Integrated water resources management in Peru. Procedia Environ Sci [Internet]. 2010 [cited 2023 Feb 11]; 2:340–8. Available from: https://www.sciencedirect.com/science/article/pii/S1878029610000721

58. Charpentier S, Hidalgo J. Las Políticas Ambientales En El Perú [Internet]. 1999. Available from: https://idl-bnc-idrc.dspacedirect.org/bitstream/handle/10625/26977/118587.pdf?sequence=1

59. Córdova-mendoza P. Primera caracterización de emisiones contaminantes y la calidad del aire en Ica, Perú. 2021;33(1):138–53. Available from: http://scielo.sld.cu/scielo.php?script=sci_arttext&pid=S2224-54212021000100138

60. Hernández Sampieri, R., Fernández Collado, C. & Baptista Lucio P. Metodología de la investigación. 2010 [cited 2020 May 26]; Available from: http://www.academia.edu/download/38911499/Sampieri.pdf

61. Ziegler-Rodriguez K, Margallo M, Aldaco R, Vázquez-Rowe I, Kahhat R. Transitioning from open dumpsters to landfilling in Peru: Environmental benefits and challenges from a life-cycle perspective. J Clean Prod [Internet]. 2019 Aug 20 [cited 2021 May 18]; 229:989–1003. Available from: https://www.sciencedirect.com/science/article/abs/pii/S0959652619315252

62. Elías G-H, Humberto B-Á, Rodolfo S-E, Xicoténcatl L-A, Claudia G-L, Pablo S-Á. Consumo de energía y emisiones de bióxido de carbono del sector refinación de petróleo en México de 2015 a 2030. Ing Investig y Tecnol [Internet]. 2015;16(4):503–13. Available from: http://revistas.unam.mx/index.php/ingenieria/article/view/52529

 

 

CONFLICTO DE INTERESES. Los autores declaran que no existe conflicto de intereses para la publicación del presente artículo científico.