ALFA. Revista de Investigación en Ciencias Agronómicas y Veterinarias

Septiembre-diciembre 2022 / Volumen 6, Número 18

ISSN: 2664-0902 / ISSN-L: 2664-0902

https://revistaalfa.org

pp. 423 – 435

 

 

Tratamiento de aguas residuales provenientes del proceso de curtido de pieles

 

Treatment of wastewater from the leather tanning process

 

Tratamento de efluentes do processo de curtimento de couro

 

 

Hugo Daniel García Juárez

hgarcia@ucv.edu.pe

https://orcid.org/0000-0002-4862-1397

Universidad Cesar Vallejo. Chepén, Perú

 

Jannie Caroll Mendoza Zuta

jannie.mendoza@unj.edu.pe

https://orcid.org/0000-0002-6976-4872

Universidad Nacional de Jaén. Jaén, Perú

 

Ricardo Antonio Armas Juárez

rarmasj@unp.edu.pe

https://orcid.org/0000-0002-0048-2711

Universidad Nacional de Piura. Piura, Perú

 

Luis Edgardo Cruz Salinas

lcruzs@ucv.edu.pe

https://orcid.org/0000-0002-3856-3146

Universidad Cesar Vallejo. Chepén, Perú

 

Artículo recibido el 25 de julio 2022 / Arbitrado el 2 de septiembre 2022 / Publicado el 4 de noviembre 2022

 

Escanea en tu dispositivo móvil o revisa este artículo en:

https://doi.org/10.33996/revistaalfa.v6i18.179

 

 

RESUMEN

El artículo presenta el diseño de una Planta de Tratamiento físico - químico de Aguas Residuales (PTAR) provenientes de los procesos de la curtiembre “Alianza Virgen de la Asunción SCRL”, en Perú. Fue una investigación propositiva, el diseño de campo se fundamentó en un diagnóstico de necesidades; el análisis y recolección de información permitió identificar contaminantes muy tóxicos, como el sulfuro y el cromo, en los efluentes que descarga la empresa en el alcantarillado público. Estos compuestos pueden ocasionar graves daños para la vida de animales, vegetales y seres humanos que estén en contacto con esta agua. Del análisis de los efluentes se determinaron los siguientes valores: < 0.5, cromo hexavalente < 0.001, Demanda Bioquímica de Oxigeno (DBO) 25.2, Demanda Química de oxígeno (DQO) 94.2, solidos sediméntales 1.5, solidos totales en suspensión 10, sulfuro < 0.00045 y pH 7.8. Se concluyó que la PTAR permite reducir la DQO en 93%, la DBO en un 92%, los sólidos suspendidos en un 95%, sulfuros en un 99% y el cromo un 96%. Los efluentes resultantes del tratamiento pueden ser reutilizados por la empresa, vertidos al alcantarillado o a una fuente de agua, ya que no son causa de contaminación ni de malos olores. La PTAR se diseñó para realizar procedimientos de tamizado, coagulación, floculación, sedimentación, precipitación y filtración de metales pesados; como respuesta a las necesidades detectadas en la empresa.

 

Palabras clave: Ambiente; contaminación hídrica; Planta de Tratamiento de Aguas Residuales; procesos de curtiembre; Salud Pública

 

ABSTRACT

The article presents the design of a physical-chemical Wastewater Treatment Plant (WWTP) from the processes of the “Alianza Virgen de la Asunción SCRL” tannery, in Peru. The field design is based on a diagnosis of needs; the analysis and collection of information made it possible to identify highly toxic contaminants, such as sulfur and chrome, in the effluents discharged by the company into the public sewer system. These compounds can cause serious damage to the life of animals, plants and human beings that are in contact with this water. From the analysis of the effluents it was determined: <0.5, hexavalent chromium <0.001, Biochemical Oxygen Demand (BOD) 25.2, Chemical Oxygen Demand (COD) 94.2, sedimentary solids 1.5, total suspended solids 10, sulfur <0.00045 and pH 7.8. It is concluded that the WWTP reduces COD by 93%, BOD by 92%, suspended solids by 95%, sulfides by 99% and chromium by 96%. The effluents resulting from the treatment can be reused by the company, discharged into the sewage system or into a water source, since they are not a cause of pollution or bad odors. The WWTP is designed to carry out screening, coagulation, flocculation, sedimentation, precipitation and filtration procedures for heavy metals; in response to the needs detected in the company.

 

Key words: Environment; Water pollution; Residual water treatment plant; tanning processes; Public health.

 

RESUMO

O artigo apresenta o projeto de uma Estação de Tratamento de Efluentes (ETE) físico-químico dos processos do curtume “Alianza Virgen de la Asunción SCRL”, no Peru. O desenho de campo é baseado em um diagnóstico de necessidades; A análise e coleta de informações permitiu identificar contaminantes altamente tóxicos, como enxofre e cromo, nos efluentes lançados pela empresa na rede pública de esgoto. Esses compostos podem causar sérios danos à vida de animais, plantas e seres humanos que estão em contato com essa água. Da análise dos efluentes foram determinados: <0,5, cromo hexavalente <0,001, Demanda Bioquímica de Oxigênio (DBO) 25,2, Demanda Química de Oxigênio (DQO) 94,2, sólidos sedimentares 1,5, sólidos suspensos totais 10, enxofre <0,00045 e pH 7,8. Conclui-se que a ETE reduz a DQO em 93%, a DBO em 92%, os sólidos em suspensão em 95%, os sulfetos em 99% e o cromo em 96%. Os efluentes resultantes do tratamento podem ser reaproveitados pela empresa, lançados na rede de esgoto ou em manancial, desde que não causem poluição ou maus odores. A ETE é projetada para realizar procedimentos de triagem, coagulação, floculação, sedimentação, precipitação e filtração de metais pesados; em resposta às necessidades detectadas na empresa.

 

Palavras-chave: Meio Ambiente; Poluição da água; Estação de tratamento de águas residuais; processos de bronzeamento; Saúde pública

 

INTRODUCCIÓN

 

Las ciudades tienen necesidades de servicios y entre ellos, el agua potable es de vital importancia para la salud de la población. Los entes gubernamentales no solo deben asegurar la cantidad de agua sino también su calidad, que sea apta para el consumo humano. Por esta razón se originan gastos para el saneamiento de las aguas en las fuentes naturales y así convertirlas en agua potable para el uso doméstico y agro industrial. Al respecto en Perú, la Ley del Sistema Nacional de Evaluación del Impacto Ambiental (SEIA) y la Ley de Recursos Hídricos, regulan el uso y gestión integrada del agua, la actuación del Estado y los particulares en dicha gestión (1). Esta normativa ambiental permite el control del uso del agua para las poblaciones y declara en su artículo 128 que se establecerán sanciones, para todo aquel que contamine el agua transgrediendo los parámetros de calidad ambiental vigentes o realice vertimientos sin autorización.

 

La ciudad peruana de Trujillo, es la tercera más poblada del país y a nivel industrial se caracteriza por ser un centro en la producción de cuero y sus derivados (2). El procesamiento del cuero es realizado por las curtiembres, el curtido es el proceso químico mediante el cual las pieles de animales son convertidas en cuero, que posteriormente se utiliza en la fabricación de diversas prendas y accesorios constituyendo materia prima para otras industrias como automotrices, de tipo artesanal, calzado y textiles, entre otras. Para ello, es necesario el empleo de varias sustancias para curtir estas pieles, entre las más utilizadas en la industria curtiembre son el cromo y agentes curtientes vegetales como los taninos (3).

 

En el curtido del cuero se emplea el hidroxisulfato de cromo (III) (Cr(OH)(SO4)), este elemento se convierte en un residuo del proceso. El cromo es un metal peligroso que se transporta en el agua y que puede ser absorbido por plantas y animales mediante el consumo del recurso hídrico y de los alimentos contaminados por este elemento. Al ingresar, el cromo a los organismos, ya sea por ingestión, contacto o inhalación, genera efectos muy nocivos de orden genético, mutagénico y carcinógeno (4). De esta manera, los altos niveles de cromo en las aguas residuales, generadas en curtiembres que implementan procedimientos de curtido al cromo, representan una amenaza para los organismos vivos. Otro contaminante es el sulfuro de hidrógeno, el cual puede afectar tanto a los animales como a los humanos, se distribuye a través de la sangre a los pulmones, cerebro, corazón, hígado y riñones (5), pudiendo causar graves casos de intoxicación e incluso la muerte (6).

 

Actualmente en Perú, solo el 50% del cuero producido a nivel nacional proviene de las empresas formales, el otro 50% de la industria de curtiembres es informal, emitiendo mayores productos contaminantes a los ríos y mares, poniendo en peligro a los animales, plantas y personas que dependen de ellos para su consumo. Al ser informales no cumplen con las regulaciones ambientales para el vertido de sustancias contaminantes a los afluentes de agua. Por consiguiente, la producción de pieles está asociada a grandes impactos ambientales que contribuyen a deteriorar la calidad de vida de las poblaciones aledañas y la salud de los ecosistemas en donde las curtiembres se encuentran funcionando (7).

 

Dentro de los principales problemas ambientales asociados a este tipo de industria se tiene el elevado consumo de agua, entre 30 y 35 litros por cada kilogramo de piel procesada (8); y el uso de químicos como sulfuro de hidrógeno, amoníaco y sales de cromo trivalente en los procesos de pelambre y curtido respectivamente, los cuales al ser vertidos en los cuerpos de agua disminuyen considerablemente su calidad (5,6). Además de estas sustancias químicas también se desechan altos valores de sólidos en suspensión, afectando la Demanda Química de Oxígeno (DQO) y la Demanda Bioquímica de Oxígeno (DBO) por la utilización de los mencionados químicos y por las características propias de las pieles ya que tienen elevado contenido de materia orgánica (9).

 

En Perú el 90% de las curtiembres están ubicadas en la provincia de Trujillo, estas proporcionan la materia prima para el sector calzado, abasteciendo en promedio al 80% del mercado. El problema es que más del 70% de las curtiembres en Trujillo no están diseñadas para realizar sus procesos de forma industrial, no poseen un sistema de tratamiento de agua por lo cual todos sus desechos van a contaminar los cuerpos de agua aledaños a la curtiembre. Una de las razones es el elevado costo para el diseño y la implementación de plantas de tratamiento de agua en las curtiembres. Si bien, existen empresas extranjeras que ofrecen el servicio de instalación de plantas de tratamiento, estos tienen precios muy elevados los cuales no son sustentables para los propietarios de curtiembres (7).

 

En este orden de ideas, es oportuno citar una investigación realizada, en la provincia de Trujillo, en la región La Libertad; el cual destaca que los impactos generados en las industrias de curtiembre son generalmente negativos por la descarga de efluentes líquidos, residuos sólidos y emisiones gaseosas. Y el impacto positivo encontrado fue la mejora en la economía; porque se generan más puestos de trabajos. Se determinó que los límites máximos permisibles encontrados en la zona de estudio superan los rangos establecidos por la legislación ambiental. El impacto ambiental más importante es la contaminación a los efluentes líquidos, seguido de la contaminación por residuos sólidos y el excesivo consumo de agua, emisiones gaseosas, ruido y el uso de insumos químicos. Como posibles alternativas de solución se plantearon sistemas de tratamiento de aguas residuales, programas de reutilización y programa de monitoreo de efluentes (10).

 

La curtiembre en la cual se desarrolla este estudio se denomina Alianza Virgen de la Asunción SCRL¨ la cual se ubica en el Parque Industrial de la ciudad de Trujillo en la Mz “C4” Lote 5. Los desechos líquidos y sólidos producidos son dirigidos al alcantarillado. Es de hacer notar que la ubicación de la curtiembre es al Sur-Este aproximadamente a 37 Km del río Chicama; por consiguiente, las aguas vertidas sin tratamiento se descargan en este río produciendo su contaminación, perjudicando así al medio ambiente y poniendo en riesgo la salud de los seres vivos como animales, plantas y personas de esa comunidad.

 

En la Provincia de Trujillo se están realizando labores de supervisión y control de las industrias que procesan el cuero, por parte del Ministerio del Ambiente en coordinación con los diferentes Gobiernos Autónomos Descentralizados. Es por ello, que actividades como el curtido de pieles están siendo controladas y fiscalizadas por la autoridad ambiental de modo que las empresas dedicadas a esta actividad cumplan con los parámetros de descarga que dicta la normativa ambiental vigente (11).

 

Para mitigar el impacto ambiental que se produce por las actividades de las curtiembres y de ésta en particular, se propone el diseño de una planta de tratamiento de aguas residuales que permita disminuir los contaminantes y reciclar el agua utilizada. Para llevar a cabo la propuesta es necesario diagnosticar las características físicas y químicas de los residuos líquidos y sólidos provenientes de los diferentes procesos del curtido, y con base en estos resultados formular las respectivas alternativas de solución. Esto contribuirá de manera directa con: el cuidado del medio ambiente y el cumplimiento de la normativa legal que prohíbe verter desechos industriales en los cuerpos de agua. Del mismo modo, la curtiembre además de mejorar la calidad de sus procesos, generar recursos económicos y bienestar para sus trabajadores, también tendrá una mejor aceptación por parte de la comunidad ya que se eliminarán los malos olores que se originan por el curtido de las pieles.

 

La investigación contó con la factibilidad organizacional, financiera, operativa, técnica y legal para el diseño e instalación de la planta de tratamiento del agua utilizada por la curtiembre. El Gerente propietario de la empresa asignó el presupuesto para el diseño e instalación de las unidades que permitirán el tratamiento de los desechos líquidos y sólidos de acuerdo a los requerimientos técnicos. El estudio plantea la interrogante: ¿Cuáles son las características técnicas de una planta de tratamiento para mejorar la calidad del agua proveniente de los procesos de remojo, pelambre y curtido de pieles en la curtiembre “Alianza Virgen de la Asunción – SCRL” ubicada en la ciudad de Trujillo en el Departamento de La Libertad en Perú? Asimismo, el objetivo de investigación es mejorar la calidad de las aguas residuales provenientes de cada etapa del proceso de remojo, pelambre y curtido en la empresa curtiembrera “Alianza Virgen de la Asunción – SCRL” ubicada en la ciudad de Trujillo en el Departamento de La Libertad en Perú, utilizando una planta de tratamiento.

 

MATERIALES Y MÉTODOS

 

Al considerar el objetivo, el estudio se clasifica como proyectivo o propositivo, ya que se formula una solución con base en un diagnóstico de necesidades, en este caso, la remoción de contaminantes de las aguas provenientes de la curtiembre instalando una Planta de Tratamiento de Aguas Residuales (PTAR). El contexto en el cual se desarrolla la investigación son las instalaciones de la empresa curtiembrera “Alianza Virgen de la Asunción – SCRL” ubicada en la ciudad de Trujillo en el Departamento de La Libertad, en Perú.

 

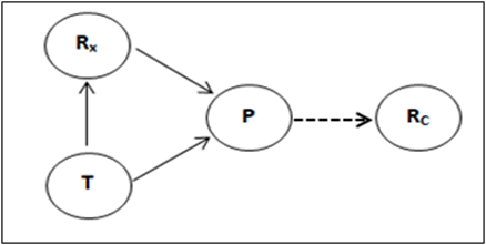
El diseño para la recolección de los datos de la investigación proyectiva, es de campo, en la Figura 1 se esquematiza los elementos del diseño: Rx = Diagnóstico de la realidad, T = fundamentos teóricos, técnicos y legales que sustentan la propuesta; P = Propuesta; Rc = La situación real con los cambios, después de aplicada la propuesta.

 

Figura 1. Diseño de investigación.

 

Con respecto a la definición de la variable el Organismo de Evaluación y Fiscalización Ambiental, refiere que las Aguas Residuales, determina que son aquellas cuyas características originales han sido modificadas por actividades humanas y que por su calidad requieren un tratamiento previo antes de ser reusadas, vertidas a un cuerpo natural de agua o descargadas al sistema de alcantarillado (7). La instalación de una Planta para el Tratamiento de Aguas Residuales provenientes de la curtiembre, permite ejecutar una serie de procesos físicos, químicos y biológicos que tienen como fin eliminar los contaminantes de diversa naturaleza que están presentes en el agua servida.

 

El método para el análisis de las aguas provenientes de los procesos de la curtiembre se realizó según las Normas del Ministerio de Salud, a través de la Dirección General de Salud Ambiental (DIGESA) siguiendo el Protocolo de monitoreo de la calidad sanitaria de los recursos hídricos superficiales de la Dirección de Ecología y Protección del Ambiente Área de Protección de los Recursos Hídricos (12).

 

A continuación, se resume el procedimiento para ejecutar la investigación: en una primera etapa se elaboró un flujograma de los procesos en la empresa, esto permitió la identificación y función de herramientas, maquinarias, equipos, reactivos, sustancias químicas y materia prima en las distintas áreas de producción. La segunda etapa consistió en realizar el análisis de los residuos contaminantes en cada etapa, para decidir el tipo de tratamiento más adecuado, este análisis estuvo a cargo de TYPSA, un laboratorio acreditado por el Organismo de Acreditación INACAL – DA con Registro No. LE-099. También se estudió la capacidad de la planta en cuanto a los volúmenes de agua utilizados diariamente. Una última etapa es el análisis de las aguas tratadas por la planta para monitorear la calidad del agua que se vierte en el alcantarillado.

 

RESULTADOS Y DISCUSIÓN

 

Análisis del agua generada por el proceso de curtiembre, de acuerdo a los datos del Laboratorio TYPSA, se muestran en la Tabla 1.

 

Tabla 1. Características del agua servida de la empresa curtiembrera “Alianza Virgen de la Asunción SCRL.

Parámetro

Resultado

Unidad

Cumplimiento de la Norma DS 021-2009

pH

7.8

pH

6 -9

Físicos

 

 

 

Solidos sediméntales (SSED)

1.5

mgSSE/l

8.5

Solidos suspendidos totales (SST)

10

mgSST/l

500

Iones Sulfuros

<0.00045

mgS2-/l

 

Cromo hexavalente

<0.001           

mgCr6/l

0.5

Orgánicos

 

 

 

Demanda Bioquímica de Oxígeno (DBO)

25.2

mgO2/l           

500

Demanda Química de Oxigeno (DQO)

94.2

gO2/l

1000

Grasas y aceites

<0.5

mg/l

100

 

El pH es de 7.8, hacia la alcalinidad. Los parámetros físicos están constituidos por 1.5 mg de solidos sediméntales, 10 mg de solidos suspendidos totales, los iones sulfuros y cromo hexavalente. Los parámetros orgánicos son las Demandas Bioquímica y Química de oxígeno y los sólidos de grasas y aceites.

 

A partir de la caracterización de las aguas vertidas se tomaron decisiones acerca de los tratamientos necesarios que deben ser ejecutados por la PTAR en la empresa curtiembrera “Alianza Virgen de la Asunción SCRL”.

 

Propuesta

 

Diseño

 

La propuesta de instalar la Planta de tratamiento en la empresa curtiembrera “Alianza Virgen de la Asunción - SCRL”, tiene como propósito evitar la descarga del agua utilizada para el curtido de pieles a la red de alcantarillado. El agua contaminada será derivada a la Planta de Tratamiento de Aguas Residuales (PTAR) para ser tratada, empleando diversas tecnologías como: lagunas facultativas, lagunas aireadas, lodos activados o filtros percoladores, entre otros. Posteriormente, estas aguas tratadas pueden ser empleadas para el riego de cultivos, áreas verdes, piscicultura o vertidas a cuerpos de agua natural o alcantarillado (13,14). La empresa posee un área de 5000 m2 de extensión, donde el procesamiento del cuero ocupa 500 m2 y la planta de tratamiento tendrá una dimensión de 300 m2.

 

El tratamiento del agua servida reducirá considerablemente los niveles de DBO y DQO, cromo y sulfuro generando un aumento del oxígeno en el agua de tal manera que sus características cumplan con las disposiciones legales para considerarse adecuada para el afluente donde se verterá. Asimismo, se producirá una disminución de los componentes tóxicos como el cromo y sulfuro. En cuanto a los sólidos suspendidos y sediméntales también se reduce su concentración, esto debido a la implementación de aire en la columna de flotación (7,10).

 

La función de la PTAR es garantizar la reutilización del agua para agricultura o como agua potable, al recibir el proceso adecuado. Asimismo, asegurar que el agua tratada pueda ser regresada a ríos, mares y lagos sin ningún contaminante que pueda dañar el ecosistema que la rodea protegiendo la salud de la flora y fauna y los seres humanos que dependan de ella. Existe una responsabilidad social por parte de las industrias y es el cuidado del medio ambiente, la PTAR es una excelente opción para cuidar el medio ambiente y ponerle fin al desperdicio del agua. Antes de construir una planta, debe realizarse un diagnóstico para que su diseño cumpla con todas las exigencias legales y pueda dar respuesta a las necesidades de la industria o empresa (13).

 

Partiendo de los resultados del análisis de las aguas residuales de la empresa curtiembrera “Alianza virgen de la Asunción – SCRL”, resulta indispensable la PTAR para un correcto y más efectivo funcionamiento que permita el cumplimiento con los protocolos de bioseguridad y disminución de los niveles de contaminación de aire, suelo y agua. Como referencia se establecen los parámetros recomendados de forma general (Ver Tabla 2).

 

Tabla 2. Parámetros Generales de efluentes de curtiembre.

Espacio físico disponible

300 m2

Caudal real

1,95 m3/ h

pH

9

DQO

2,085 mgO2 / l

DBO

1,763 mgO2 / l

Fuente (14).

 

El diseño de la planta de tratamiento considera los equipos y maquinaria para el procesamiento del cuero en las etapas: preliminar o pretratamiento, tratamiento primario, tratamiento secundario y tratamiento terciario. Asimismo, se deben respetar los límites permisibles cuando sale el agua de efluentes - DS 003-2010 (15), estos valores se resumen en la Tabla 3.

 

Tabla 3. Límites Máximos Permisibles (LMP) para efluentes de Plantas de Tratamiento de Agua Residuales Domésticas o Municipales (PTAR).

Parámetro

Unidad

LMP de Efluentes

Aceites y grasas

Mg/l

20

Coliformes Termotolerantes

NMP/100ml

10,000

Demanda Bioquímica de Oxígeno (DBO)

mg/l

100

Demanda Química de Oxígeno (DQO)

mg/l

200

pH

unidad

6.5-8.5

Sólidos Totales en Suspensión

ml/l

150

Temperatura

 °C

 <35

 

A continuación, se resumen las características en cada una de las etapas del proceso de curtiembre:

 

Pre-tratamiento

 

Consta de la eliminación de solidos gruesos que existen en los vertimientos, que surgen del proceso de curtido; luego se eliminan los sulfuros en la etapa de sulfurado. Con el tamizado o cribado, se busca eliminar las partículas existentes en los residuos líquidos, para ello se implementan tamices o filtros de arena, para evitar obstrucciones en las siguientes etapas. Desde el punto de vista ambiental, usar filtros de malla en lugar de filtros de arena, evita la generación adicional de residuos sólidos, porque la arena debe cambiarse periódicamente. Desde el punto de vista operativo, es más fácil darle mantenimiento al filtro de malla siempre que se utilice una sola malla porque si se utilizan muchas capas se formaría una capa fibrosa que taponea el filtro (16).

 

Desengrasado. Este proceso consiste en la separación, de las grasas no emulsionadas de los componentes ligeros arrastrados por el agua residual, para evitar que las partículas puedan causar daños posteriores, como obstrucción de tuberías, motobombas y demás, en los instrumentos utilizados en el sistema de tratamiento de aguas residuales. Debido a la alta necesidad de la empresa de eliminar estas partículas, se cuenta con una trampa de grasas, que consiste en una canal de 4,2 m de largo y 2,8 m de ancho, de tres secciones que retiene las partículas transportadas por el agua residual (17).

 

Eliminación de sulfuros. En la primera etapa del proceso de transformación de pieles en cuero, estas se someten a lavarlas para remover la sal que se usa para su conservación luego se adiciona humectante para ayudar a que recuperen su grado de hinchamiento natural, paso seguido se exponen a grandes cantidades de sales de sulfuro de sodio (Na2S) y cal para remover los pelos y ayudar a ablandar la epidermis, facilitando así el descarnado de las mismas (8).

 

En la etapa de pelambre por la gran cantidad de agua usada y también de sales de sulfuro de sodio (Na2S) que representan un componente altamente contaminante, es necesario el implementar un sistema que ayude a reducir la carga de sales de sulfuro de sodio (Na2S) que se vierte al alcantarillado, puesto que esta puede afectar la estructura de las tuberías y generar una gran contaminación en el cuerpo de agua donde será vertido (17).

 

Para el tratamiento de las aguas que provienen de esta etapa, se implementa el método de acidificación, el cual permite además de eliminar la cantidad de sulfuro de sodio vertido, recuperarlo para reusarlo posteriormente. El método consta de dos etapas, proceso de reducción y proceso de recuperación, en las cuales se elimina el sulfuro de sodio que se encuentra en las aguas residuales de la etapa de pelambre (18) ver Figura 2.

 

Figura 2. Esquema del sistema de oxidación de sulfuros.

 

Eliminación del cromo. En la etapa de curtido y recurtido las pieles que provienen de las etapas anteriores son expuestas a grandes cantidades de cromo con el objetivo de convertir la piel en cuero, otorgándole cualidades como resistencia a la humedad y al calor, evitando la descomposición de estas. La eliminación de cromo se puede reducir aplicando hidróxido de sodio como agente precipitante, en las aguas residuales obtenidas de los procesos de curtido y recurtido (5,9).

 

Homogenización. Se pretende homogenizar las corrientes con altos contenidos de material orgánico, solidos suspendidos y solidos sediméntales para poder realizar los tratamientos posteriores a una sola corriente, reduciendo la cantidad de equipos y tanques que se utilizarían. Las corrientes para homogenizar son las provenientes de las etapas de lavados, humectado, pelambre después de haber realizado el tratamiento para la eliminación de sulfuro de sodio, piquelado, desencale, desencale con purga, engrasado y teñido (17).

 

Tratamiento primario. Para eliminar los sólidos totales: solidos suspendidos, solidos sedimentables y solidos sedimentables totales; DBO y DQO, se implementaría un sistema de flotación, que permitirá retirar las partículas menos densas que el agua, se obtendrá agua clarificada y limpia para su disposición a las alcantarillas públicas. Para determinar la velocidad de flotación, se procederá a colocar una mezcla de corriente homogenizada en una probeta, se realizará una observación cada 10 minutos durante un período de dos horas (13,17).

 

Tratamiento secundario - Coagulación y floculación. Para obtener un mejor resultado de coagulante y floculante el agua debe encontrarse con un pH entre 7 y 7,5 es por ello que previamente se realiza una neutralización; usando hidróxido de sodio con una concentración de 199.985 mg/l y un volumen de la muestra de 500 ml, agregándole 14 ml de hidróxido de sodio a cada prueba. La primera consta de la acidificación de las aguas residuales en esta etapa, con ácido clorhídrico (HCl) con una concentración de 37,000 mg/l, logrando la volatilización o desorción del ácido sulfhídrico (H2S). Esta etapa es importante ya que permite la eliminación del sulfuro del agua residual. En el proceso de recuperación, el H2S(g) generado se hace reaccionar con hidróxido de sodio (NaOH), formándose así una solución concentrada de sales de sulfuro de sodio (Na2S) (10,14,18)

 

Debido a las cargas de contaminantes que se generan durante el proceso de transformación de las pieles y las características químicas y biológicas del agua residual, es pertinente tomar valores referenciales, así como factores de seguridad con el fin de obtener un sistema óptimo de los principales parámetros de diseño, estos valores se resumen en la Tabla 4.

 

Tabla 4. Valores referenciales para el sistema de tratamiento.

Pretratamiento

Tamizado

 

Desengrasado

2,6715 m3 / h

Eliminación de sulfuros

0,05566 m3 / h

Eliminación de cromo

0,2080 m3 / h

Homogenización

6,5441 m3 / h

Tratamiento primario

Flotación

1,0907 m3 / h

Tratamiento secundario

Coagulación – floculación

1,1568 m3 / h

Fuente (14)

 

Con base en los requerimientos el tamiz estará construido con una serie de mallas de 14 y 40. El tanque de eliminación de cromo debe tener una longitud de 3.11 m, altura y ancho de 1m y 2m respectivamente. Las dimensiones del tanque para eliminación de sulfuro deben ser 0.84m de longitud y 1m de altura y ancho. El tanque para la homogenización y trampa de grasas debe poseer un Caudal de diseño QD de 6.5441 m3 / h, su bomba debe tener una potencia de 0.31 hp (19).

 

Una alternativa para reducir la contaminación, en el proceso de pelambre es no realizar la destrucción del pelo, por ello no se debe emplear abundante sulfuro de sodio como agente reductor para destruirlo, sólo para ablandarlo. Se añade cal para removerlo y agentes depilantes menos contaminantes como enzimas proteasas de origen vegetal, trabajando con un pH entre 7.5 y 9. El pelo se retira por filtración, esto disminuye la carga de contaminación del efluente. De esta manera se puede reducir el 30% aproximadamente de la DQO, un 69% de los sólidos suspendidos y un 90% de los sulfuros (17,20).

 

Otra opción para disminuir la contaminación es la recirculación de cromo, el cual se precipita como un hidróxido insoluble empleando un hidróxido de sodio a un pH de 8.5, luego se produce la separación del sólido por filtración, decantación, centrifugación y luego se lo re-disuelve con ácido para incorporarlo nuevamente al proceso (13); de esta forma el cromo se reduce en el efluente en un 98% y los sólidos suspendidos en un 80% (21); en el proceso de curtido se puede incrementar la absorción del cromo controlando la temperatura y el pH (8,13). Para reducir el consumo de agua se puede optar por la incorporación de sistemas de control como medidores de flujo y válvulas; la opción de la reutilización del agua también debe ser considerada para procesos no tan críticos como el remojo y los lavados (8).

 

Discusión

 

Los resultados de la investigación coinciden con lo que reporta Barrera (22) en la colonia “El Maestro” en Guatemala, después que se instaló la planta de tratamiento de aguas residuales provenientes de una curtiembre, disminuyó en un 98% los contaminantes en las aguas residuales y esto redujo significativamente las enfermedades relacionadas con el consumo de agua contaminada en esta comunidad. Los resultados de Portilla (23), también están de acuerdo, este autor concluye que un sistema de tratamiento de las aguas residuales industriales de la Curtiduría Serrano en Quito, conformado por un sistema de aireación difusa junto a un proceso de coagulación – floculación para las aguas de pH básico y ácido por separado, reducen los contaminantes en más de un 70%.

 

CONCLUSIONES

 

El muestreo de las aguas residuales de la empresa curtiembrera “Alianza Virgen de la Asunción SCRL” se observó que las descargas de las aguas que se vierten sin ningún tratamiento, contienen sólidos totales, sulfuro y cromo; contaminando los afluentes de la zona industrial de la ciudad de Trujillo cuyas descargas terminan en el rio Chicama. Las descargas de efluentes contaminados afectan la calidad del agua y la salud de animales, vegetales y personas. La Planta de Tratamiento de Aguas Residuales apropiada para las necesidades de la empresa curtiembrera “Alianza Virgen de la Asunción SCRL posee una viabilidad económica y técnica que permite reducir el DQO en un 95%, el DBO en un 99% y una remoción de sólidos casi total.

 

De acuerdo a las necesidades de la empresa, el diseño de la PTAR quedo conformada por los siguientes procesos: cribado mediante los tamices 14 y 40 en acero inoxidable situados al interior de una tubería de 3 pulgadas, seguido de una trampa de grasas con dimensiones de 4,2 metros de largo por 2,8 metros de ancho, la cual comunica a una serie de tanques en donde se realizará la eliminación de componentes como el cromo y el sulfuro, posteriormente el fluido es dirigido a un tanque de homogenización donde se estabilizará el agua, para finalmente ser depositada en el tanque de flotación por aire directo, de donde se busca una remoción del 85 % de solidos suspendidos y por último el tanque de coagulación y floculación, donde se tiene una dosificación de sulfato de aluminio (800 mg/l) y de poliacrilamida (60 mg/l) respectivamente, en el cual se eliminará la materia de suspensión.

 

El agua procesada por la planta de tratamiento permite su reutilización o recirculación del agua dentro de la empresa en más de un 70%. Las características del efluente obtenido cumplen con los parámetros exigidos por el Ministerio del Ambiente del Perú, por lo tanto, se permite su vertido en el alcantarillado o cuerpos de agua.

 

REFERENCIAS BIBLIOGRÁFICAS

 

1. Ministerio del Ambiente. Ley de Recursos Hídricos Nº 29338. Marzo 29, 2009. República del Perú [Documento en línea] https://www.minam.gob.pe/wp-content/uploads/2017/04/Ley-N%C2%B0-29338.pdf

2. Instituto Nacional de Estadística e Informática. Censos nacionales. Resultados definitivos de los censos nacionales en el Perú; 2017. http://censo2017.inei.gob.pe/resultados-definitivos-de-los-censos-nacionales-2017/

3. Germillac M. Guía para el control y prevención de la contaminación industrial en curtiembres. Santiago de Chile: Procesos industriales Virtual Pro. 2007. (62). Iberoamérica;

4. Borda-Prada O. Evaluación y reducción de los niveles de cromo en muestras de aguas residuales provenientes de curtiembres. L'esprit Ingénieux; 2014;5(1); DSpace Repository, Universidad de Santo Tomás, Colombia. http://bibliotecavirtualoducal.uc.cl:8081/handle/11634/5036

5. Foureman G. Revisión toxicológica del sulfuro de hidrógeno. 2011.

6. Química internacional. Documento de Evaluación. Sulfuro de hidrógeno: aspectos de la salud humana 2003; (53).

7. Organismo de Evaluación y Fiscalización Ambiental. Fiscalización ambiental de aguas residuales. Ministerio del Ambiente de Perú. 2018 [Internet] https://www.oefa.gob.pe/?wpfb_dl=7827

8. Ramassami T. Aspectos ambientales del procesamiento del cuero, México: McGraw Hill, 2009.

9. Angelinetti A, Cantera C. Remojo, depilado y sus aguas residuales. Problemas y soluciones 1987, Buenos Aires, Argentina Centro de Investigación de Tecnología del Cuero (CITEC).

10. Pinedo R. Impactos ambientales generados por la Curtiembre D-Leyse, en el distrito de El Porvenir, provincia Trujillo, región La Libertad”, Tingo María, Perú”; 2012.https://web2.unas.edu.pe/sites/default/files/web/archivos/actividades_academicas/IMPACTOS%20AMBIENTALES%20GENERADOS%20POR%20LA%20CURTIEMBRE%20DLEYSE%2C%20EN%20EL%20DISTRITO%20DE%20EL%20PORVENIR%2C%20PROVINCIA%20TRUJILLO%2C%20REGION%20LA%20LIBERTAD.pdf

11. Ley del Sistema Nacional de Evaluación del Impacto Ambiental (SEIA) Ley Nº 27446, 2016

12. Ministerio de Salud de Perú. Dirección General de Salud Ambiental (DIGESA). Protocolo de monitoreo de la calidad sanitaria de los recursos hídricos. Dirección de Ecología y protección del Ambiente. Área de Protección de Recursos Hídricos; Lima, 2007.

13. Centro Nacional de Producción más Limpia y Tecnologías Ambientales Sistema de Referenciación Ambiental (SIRAC) para el sector curtiembre en Colombia. Proyecto gestión ambiental en el sector de curtiembres en Colombia, 2004. https://www.icesi.edu.co/blogs/gestionintegralindustrial/files/2011/10/SIRAC-Curtiembres.pdf

14. García O, Ramírez L. Evaluación de una propuesta para el sistema de tratamiento de aguas residuales de curtiembre y marroquinería FB. Fundación Universidad de América. Colombia, Bogotá; 2019.

15. Ministerio del ambiente Sistema Nacional de información Ambiental Decreto Supremo N° 003-2010-MINAM. Límites Máximos Permisibles (LMP) para los efluentes de Plantas de Tratamiento de Aguas Residuales Domésticas o Municipales (PTAR), para el sector Vivienda; 2010. https://sinia.minam.gob.pe/normas/limites-maximos-permisibles-lmp-efluentes-plantas-tratamiento-aguas

16. Bezama A, Márquez F. Recuperación de reactivos de los efluentes de curtiembres. En: PAMPÍM Ramón., et al., Producción limpia en la industria curtiembre. Santiago de Compostela: Universidad de Santiago de Compostela, 2007.

17. Muñoz M, Hidalgo D. Evaluación de tratamientos primarios de los efluentes de pelambre y curtido para su posible reutilización. En: PAMPÍM Ramón., et al., Producción limpia en la industria curtiembre. Santiago de Compostela: Universidad de Santiago de Compostela, 2007.

18. Cortés Cubillos OD, Alarcón Vargas I. Evaluar la reducción de la carga de sulfuros en los efluentes del proceso de pelambre mediante su recuperación por el método de acidificación. Retrieved. 2016. From https://ciencia.lasalle.edu.co/ing_ambiental_sanitaria/293

19. Lombeida L. Diseño de una planta de tratamiento de aguas residuales para una empresa de curtiembre. Trabajo de investigación para optar por el Título Profesional de Químico. Facultad de Ciencias Químicas Quito: Universidad Central Del Ecuador. 2013. http://www.dspace.uce.edu.ec/bitstream/25000/9724/1/T-UCE-0008-Q001-2017. pdf

20. Martinez, B.S.Y.; Romero, C.J.A. Revisión Del Estado Actual De La Industria De Las Curtiembres En Sus Procesos Y Productos: Un análisis De Su Competitividad. Rev. Fac. Cien. Econ. 2017, 26, 113–124

21. Alzate T.A. Proyecto Gestión Ambiental en la industria de Curtiembre en Colombia. Diagnóstico y estrategias. 2008 Disponible: http://www.tecnologiaslimpias.org/Curtiembres/ EstrategiasDiagnostico.pdf.

22. Barrera R. Estudio de pre factibilidad para el diseño, planificación y construcción de una planta de tratamiento de aguas residuales en la Colonia El Maestro, municipio de Chiquimula. Guatemala, 2011. http://biblioteca.usac.edu.gt/tesis/08/08_2290_IN.pdf

23.      Portilla A. Análisis Técnico Ambiental del proceso de la Curtiduría Serrano de la ciudad Ambato y diseño de la planta de tratamiento de las aguas residuales. Trabajo de Grado presentado como requisito parcial para optar el Título de Ingeniero Ambiental Grado Académico de Tercer Nivel. Carrera de Ingeniería Ambiental. Quito: UCE; 2013. Repositorio digital. http://www.dspace.uce.edu.ec/handle/25000/1564?mode=full

 

 

Conflicto de Intereses. El autor declara que no existe conflicto de intereses para la publicación del presente artículo científico.

Financiamiento. El autor declara que no recibió financiamiento.

Agradecimiento. El autor agradece al personal técnico y gerencial de la empresa “Alianza Virgen de la Asunción - SCRL”, Así como también todo el apoyo prestado por la comunidad.